高等数学——微分
作者:追风剑情 发布于:2021-6-22 17:39
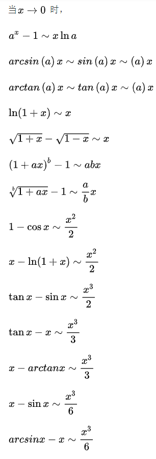
1、等价无穷小量代换公式
当无法直接求出极限时,可采用等价无穷小量代换。
等价无穷小代换条件:
(1)被代换的量,在取极限的时候极限值为0。
(2)被代换的量,作为被乘或者被除的元素时可以用等价无穷小代换,但是作为加减的元素时就不可以。
参见: 百度百科
2、三角函数求导公式
如果对分子分母求导后还是0/0型或∞/∞型,可以继续对分子分母求导。
3、导数的四则运算法则
4、判断函数凹凸性
函数的二阶导数大于0,开口向上,函数为凹函数。
函数的二阶导数小于0,开口向下,函数为凸函数。
函数的二阶导数等于0,函数不凹不凸。
5、求函数拐点
步骤:
(1) 求出二阶导数等于0的点。
(2) 求出二阶导数不存在的点。
(3) 从(1)和(2)的结果集中找出左右极限符号相反的点。
5、夹逼定理

当无法直接求极限时,可考虑从两端逼近。
(1)、找出F(x)和G(x),且满足F(x)<=f(x)<=G(x)
(2)、求出x->x0时,F(x)和G(x)的极限值A
(3)、根据(1)和(2)可知,当x->x0时,f(x)的极限值为A
复合函数
已知函数 y=f(u),当u表示为 u=g(x) 时,y作为x的函数可以表示为形如 y=f(g(x)) 的嵌套结构(u和x表示多变量)。这时,嵌套结构的函数 f(g(x)) 称为 f(u) 和 g(x) 的复合函数。
单变量函数的链式法则
已知单变量函数 y=f(u),当u表示为单变量函数 u=g(x) 时,复合函数 f(g(x)) 的导函数可以如下简单地求出来。 $$\frac{dy}{dx}=\frac{dy}{du}\frac{du}{dx}$$ 这个公式称为单变量函数的复合函数求导公式,也称为链式法则。
多变量函数的链式法则
在多变量函数的情况下,链式法则的思想也同样适用。只要像处理分数一样对导数的式子进行变形即可。然而事情并没有这么简单,因为必须对相关的全部变量应用链式法则。
我们来考察两个变量的情形。
变量z为u、v的函数,如果u、v分别为x、y的函数( 即 u=f1(x,y),v=f2(x,y) ),则z为x、y的函数,此时下式(多变量函数的链式法则)成立。 $$\frac{δz}{δx}=\frac{δz}{δu}\frac{δu}{δx}+\frac{δz}{δv}\frac{δv}{δx}$$ $$\frac{δz}{δy}=\frac{δz}{δu}\frac{δu}{δy}+\frac{δz}{δv}\frac{δv}{δy}$$ 上式在三个以上的变量的情况下也同样成立。
单变量函数的近似公式
$$f'(x)=\lim\limits_{\Delta{x}\to{0}}\frac{f(x+\Delta{x})-f(x)}{\Delta{x}}\tag{导数的定义}$$ 在这个定义式中,$\Delta{x}$为“无限小的值”,不过若将它替换为“微小的值”,也不会造成很大的误差。因而,下式近似成立。 $$f'(x)\fallingdotseq\frac{f(x+\Delta{x})-f(x)}{\Delta{x}}$$ 将上式变形,可以得到以下单变量函数的近似公式。 $$f(x+\Delta{x})\fallingdotseq{f(x)+f'(x)\Delta{x}}\quad(\Delta{x}为微小的数)$$
多变量函数的近似公式
$$f(x+\Delta{x}, y+\Delta{y})\fallingdotseq{f(x,y)+\frac{\partial{f(x,y)}}{\partial{x}}\Delta{x}+\frac{\partial{f(x,y)}}{\partial{y}}}\Delta{y}$$ $$\Delta{z}=f(x+\Delta{x},y+\Delta{y})-f(x,y)$$ $$\Delta{z}\fallingdotseq{\frac{\partial{z}}{\partial{x}}\Delta{x}+\frac{\partial{z}}{\partial{y}}\Delta{y}}$$ 上式对于两个以上变量依然成立。
近似公式的向量表示
多个变量的函数的近似公式,可以表示为两个向量的内积,例如: $$\nabla{z}=\left(\frac{\partial{z}}{\partial{w}},\frac{\partial{z}}{\partial{x}},\frac{\partial{z}}{\partial{y}}\right),\quad\Delta{x}=(\Delta{w},\Delta{x},\Delta{y})$$ 注:$\nabla$通常读作nabla
其它资料
日历
最新文章
随机文章
热门文章
分类
存档
- 2026年4月(7)
- 2026年3月(15)
- 2026年2月(3)
- 2026年1月(6)
- 2025年12月(1)
- 2025年11月(1)
- 2025年9月(3)
- 2025年7月(4)
- 2025年6月(5)
- 2025年5月(1)
- 2025年4月(5)
- 2025年3月(4)
- 2025年2月(3)
- 2025年1月(1)
- 2024年12月(5)
- 2024年11月(5)
- 2024年10月(5)
- 2024年9月(3)
- 2024年8月(3)
- 2024年7月(11)
- 2024年6月(3)
- 2024年5月(9)
- 2024年4月(10)
- 2024年3月(11)
- 2024年2月(24)
- 2024年1月(12)
- 2023年12月(3)
- 2023年11月(9)
- 2023年10月(7)
- 2023年9月(2)
- 2023年8月(7)
- 2023年7月(9)
- 2023年6月(6)
- 2023年5月(7)
- 2023年4月(11)
- 2023年3月(6)
- 2023年2月(11)
- 2023年1月(8)
- 2022年12月(2)
- 2022年11月(4)
- 2022年10月(10)
- 2022年9月(2)
- 2022年8月(13)
- 2022年7月(7)
- 2022年6月(11)
- 2022年5月(18)
- 2022年4月(29)
- 2022年3月(5)
- 2022年2月(6)
- 2022年1月(8)
- 2021年12月(5)
- 2021年11月(3)
- 2021年10月(4)
- 2021年9月(9)
- 2021年8月(14)
- 2021年7月(8)
- 2021年6月(5)
- 2021年5月(2)
- 2021年4月(3)
- 2021年3月(7)
- 2021年2月(2)
- 2021年1月(8)
- 2020年12月(7)
- 2020年11月(2)
- 2020年10月(6)
- 2020年9月(9)
- 2020年8月(10)
- 2020年7月(9)
- 2020年6月(18)
- 2020年5月(4)
- 2020年4月(25)
- 2020年3月(38)
- 2020年1月(21)
- 2019年12月(13)
- 2019年11月(29)
- 2019年10月(44)
- 2019年9月(17)
- 2019年8月(18)
- 2019年7月(25)
- 2019年6月(25)
- 2019年5月(17)
- 2019年4月(10)
- 2019年3月(36)
- 2019年2月(35)
- 2019年1月(28)
- 2018年12月(30)
- 2018年11月(22)
- 2018年10月(4)
- 2018年9月(7)
- 2018年8月(13)
- 2018年7月(13)
- 2018年6月(6)
- 2018年5月(5)
- 2018年4月(13)
- 2018年3月(5)
- 2018年2月(3)
- 2018年1月(8)
- 2017年12月(35)
- 2017年11月(17)
- 2017年10月(16)
- 2017年9月(17)
- 2017年8月(20)
- 2017年7月(34)
- 2017年6月(17)
- 2017年5月(15)
- 2017年4月(32)
- 2017年3月(8)
- 2017年2月(2)
- 2017年1月(5)
- 2016年12月(14)
- 2016年11月(26)
- 2016年10月(12)
- 2016年9月(25)
- 2016年8月(32)
- 2016年7月(14)
- 2016年6月(21)
- 2016年5月(17)
- 2016年4月(13)
- 2016年3月(8)
- 2016年2月(8)
- 2016年1月(18)
- 2015年12月(13)
- 2015年11月(15)
- 2015年10月(12)
- 2015年9月(18)
- 2015年8月(21)
- 2015年7月(35)
- 2015年6月(13)
- 2015年5月(9)
- 2015年4月(4)
- 2015年3月(5)
- 2015年2月(4)
- 2015年1月(13)
- 2014年12月(7)
- 2014年11月(5)
- 2014年10月(4)
- 2014年9月(8)
- 2014年8月(16)
- 2014年7月(26)
- 2014年6月(22)
- 2014年5月(28)
- 2014年4月(15)
友情链接
- Unity官网
- Unity圣典
- Unity在线手册
- Unity中文手册(圣典)
- Unity官方中文论坛
- Unity游戏蛮牛用户文档
- Unity下载存档
- Unity引擎源码下载
- Unity服务
- Unity Ads
- wiki.unity3d
- Visual Studio Code官网
- SenseAR开发文档
- MSDN
- C# 参考
- C# 编程指南
- .NET Framework类库
- .NET 文档
- .NET 开发
- WPF官方文档
- uLua
- xLua
- SharpZipLib
- Protobuf-net
- Protobuf.js
- OpenSSL
- OPEN CASCADE
- JSON
- MessagePack
- C在线工具
- 游戏蛮牛
- GreenVPN
- 聚合数据
- 热云
- 融云
- 腾讯云
- 腾讯开放平台
- 腾讯游戏服务
- 腾讯游戏开发者平台
- 腾讯课堂
- 微信开放平台
- 腾讯实时音视频
- 腾讯即时通信IM
- 微信公众平台技术文档
- 白鹭引擎官网
- 白鹭引擎开放平台
- 白鹭引擎开发文档
- FairyGUI编辑器
- PureMVC-TypeScript
- 讯飞开放平台
- 亲加通讯云
- Cygwin
- Mono开发者联盟
- Scut游戏服务器引擎
- KBEngine游戏服务器引擎
- Photon游戏服务器引擎
- 码云
- SharpSvn
- 腾讯bugly
- 4399原创平台
- 开源中国
- Firebase
- Firebase-Admob-Unity
- google-services-unity
- Firebase SDK for Unity
- Google-Firebase-SDK
- AppsFlyer SDK
- android-repository
- CQASO
- Facebook开发者平台
- gradle下载
- GradleBuildTool下载
- Android Developers
- Google中国开发者
- AndroidDevTools
- Android社区
- Android开发工具
- Google Play Games Services
- Google商店
- Google APIs for Android
- 金钱豹VPN
- TouchSense SDK
- MakeHuman
- Online RSA Key Converter
- Windows UWP应用
- Visual Studio For Unity
- Open CASCADE Technology
- 慕课网
- 阿里云服务器ECS
- 在线免费文字转语音系统
- AI Studio
- 网云穿
- 百度网盘开放平台
- 迅捷画图
- 菜鸟工具
- [CSDN] 程序员研修院
- 华为人脸识别
- 百度AR导航导览SDK
- 海康威视官网
- 海康开放平台
- 海康SDK下载
- git download
- Open CASCADE
- CascadeStudio
- OpenClaw中文社区
- three.js manual
- SVG官方文档
交流QQ群
-
Flash游戏设计: 86184192
Unity游戏设计: 171855449
游戏设计订阅号















