高等数学——微元分析法
作者:追风剑情 发布于:2022-4-13 21:15 分类:Algorithms
在自然科学和生产实践中,有许多实际问题最后都能归结为定积分问题。本节将应用定积分的方法导出一些几何量与物理量的计算公式。但要强调的是,学习本节的目的并不只是记住这几个具体的公式,而是要通过这些实例了解并掌握定积分的微元分析法。
一、微元分析法
为了说明微元分析法的解题思路,让我们先复习一下曲边梯形面积问题的处理方法。
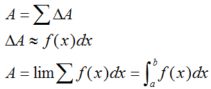
设函数f(x)在区间[a,b]上连续非负,将以曲线y=f(x)为顶边,底为[a,b]的曲边梯形的面积记为A,把A表示为定积分的步骤是:
(1) 分割
用任意一组分点把区间[a,b]分成长度为△xi(i=1,2,...,n)的n个小区间,相应地把曲边梯形分成n个很窄的曲边梯形,第i个窄曲边梯形的面积设为△Ai,于是有
(2) 近似
将每一个窄曲边梯形近似为矩形,在其相应的小区间上任意取一点ξi,进而将函数值f(ξi)当做这个矩形的高,计算△Ai的近似值
从上述步骤可以看出,能用定积分表示量A的前提是:量A(面积)与区间[a,b]有关,当区间[a,b]被任意分为若干个小段时,量A总是相应地被分为若干个部分量,且A等于所有部分量之和。这一性质称为量A对于区间[a,b]具有可加性。
把以上过程简述为 “化整为零” 与 “积零成整” 两个步骤。其中,“以直代曲” 或 “以不变代变” 是问题得以转化的关键,它要求近似式△Ai≈f(ξi)△xi中当△xi→0时,f(ξi)△xi与△Ai之差(即,误差)是关于△xi的高阶无穷小量(即,必须满足微分的定义),这样才能保证
的正确性。微分与导数的关系
为了简化起见,我们省略下标i,用△A表示任意一个小区间[x,x+dx]上的窄曲边梯形的面积,取[x,x+dx]的左端点x为ξ,从而
其中的f(x)dx称为面积微元,记为 dA=f(x)dx
一般情况下,若量I是非均匀地分布在某区间[a,b]上的整体量,且对区间[a,b]具有可加性,则可以按照下面的简化步骤把它表示为定积分。
(1) 求微元。将区间[a,b]任意分成n个小区间,再把量I相应地分为n个部分量,取其中任意一个小区间并记为[x,x+dx],把相应于这个小区间的部分量△I近似地表示为[a,b]上的一个连续函数在点x处的值f(x)与△x的乘积,即△I≈f(x)△x,称f(x)dx为量I的微元,记为dI,即 dI=f(x)dx
(2) 作积分把这些微元无限相加,即以f(x)dx为被积式在区间[a,b]上作定积分,得
上述简化了步骤的方法通常称为定积分的微元法或元素法。这不是一个严密的数学定义,而只是应用定积分表示对区间[a,b]具有可加性的量的处理方法。
值得注意的是,△I与dI=f(x)dx的差必须是较△x高阶的无穷小。今后,我们往往模仿处理曲边梯形面积和变速直线运动的路程、变力沿直线作功等问题时所采用的“以不变代变”的方法,即在每一个小区间上将连续变量视为常量,就可保证所取的△I的近似值dI具有这样的性质。
标签: Algorithms
日历
最新文章
随机文章
热门文章
分类
存档
- 2026年4月(7)
- 2026年3月(15)
- 2026年2月(3)
- 2026年1月(6)
- 2025年12月(1)
- 2025年11月(1)
- 2025年9月(3)
- 2025年7月(4)
- 2025年6月(5)
- 2025年5月(1)
- 2025年4月(5)
- 2025年3月(4)
- 2025年2月(3)
- 2025年1月(1)
- 2024年12月(5)
- 2024年11月(5)
- 2024年10月(5)
- 2024年9月(3)
- 2024年8月(3)
- 2024年7月(11)
- 2024年6月(3)
- 2024年5月(9)
- 2024年4月(10)
- 2024年3月(11)
- 2024年2月(24)
- 2024年1月(12)
- 2023年12月(3)
- 2023年11月(9)
- 2023年10月(7)
- 2023年9月(2)
- 2023年8月(7)
- 2023年7月(9)
- 2023年6月(6)
- 2023年5月(7)
- 2023年4月(11)
- 2023年3月(6)
- 2023年2月(11)
- 2023年1月(8)
- 2022年12月(2)
- 2022年11月(4)
- 2022年10月(10)
- 2022年9月(2)
- 2022年8月(13)
- 2022年7月(7)
- 2022年6月(11)
- 2022年5月(18)
- 2022年4月(29)
- 2022年3月(5)
- 2022年2月(6)
- 2022年1月(8)
- 2021年12月(5)
- 2021年11月(3)
- 2021年10月(4)
- 2021年9月(9)
- 2021年8月(14)
- 2021年7月(8)
- 2021年6月(5)
- 2021年5月(2)
- 2021年4月(3)
- 2021年3月(7)
- 2021年2月(2)
- 2021年1月(8)
- 2020年12月(7)
- 2020年11月(2)
- 2020年10月(6)
- 2020年9月(9)
- 2020年8月(10)
- 2020年7月(9)
- 2020年6月(18)
- 2020年5月(4)
- 2020年4月(25)
- 2020年3月(38)
- 2020年1月(21)
- 2019年12月(13)
- 2019年11月(29)
- 2019年10月(44)
- 2019年9月(17)
- 2019年8月(18)
- 2019年7月(25)
- 2019年6月(25)
- 2019年5月(17)
- 2019年4月(10)
- 2019年3月(36)
- 2019年2月(35)
- 2019年1月(28)
- 2018年12月(30)
- 2018年11月(22)
- 2018年10月(4)
- 2018年9月(7)
- 2018年8月(13)
- 2018年7月(13)
- 2018年6月(6)
- 2018年5月(5)
- 2018年4月(13)
- 2018年3月(5)
- 2018年2月(3)
- 2018年1月(8)
- 2017年12月(35)
- 2017年11月(17)
- 2017年10月(16)
- 2017年9月(17)
- 2017年8月(20)
- 2017年7月(34)
- 2017年6月(17)
- 2017年5月(15)
- 2017年4月(32)
- 2017年3月(8)
- 2017年2月(2)
- 2017年1月(5)
- 2016年12月(14)
- 2016年11月(26)
- 2016年10月(12)
- 2016年9月(25)
- 2016年8月(32)
- 2016年7月(14)
- 2016年6月(21)
- 2016年5月(17)
- 2016年4月(13)
- 2016年3月(8)
- 2016年2月(8)
- 2016年1月(18)
- 2015年12月(13)
- 2015年11月(15)
- 2015年10月(12)
- 2015年9月(18)
- 2015年8月(21)
- 2015年7月(35)
- 2015年6月(13)
- 2015年5月(9)
- 2015年4月(4)
- 2015年3月(5)
- 2015年2月(4)
- 2015年1月(13)
- 2014年12月(7)
- 2014年11月(5)
- 2014年10月(4)
- 2014年9月(8)
- 2014年8月(16)
- 2014年7月(26)
- 2014年6月(22)
- 2014年5月(28)
- 2014年4月(15)
友情链接
- Unity官网
- Unity圣典
- Unity在线手册
- Unity中文手册(圣典)
- Unity官方中文论坛
- Unity游戏蛮牛用户文档
- Unity下载存档
- Unity引擎源码下载
- Unity服务
- Unity Ads
- wiki.unity3d
- Visual Studio Code官网
- SenseAR开发文档
- MSDN
- C# 参考
- C# 编程指南
- .NET Framework类库
- .NET 文档
- .NET 开发
- WPF官方文档
- uLua
- xLua
- SharpZipLib
- Protobuf-net
- Protobuf.js
- OpenSSL
- OPEN CASCADE
- JSON
- MessagePack
- C在线工具
- 游戏蛮牛
- GreenVPN
- 聚合数据
- 热云
- 融云
- 腾讯云
- 腾讯开放平台
- 腾讯游戏服务
- 腾讯游戏开发者平台
- 腾讯课堂
- 微信开放平台
- 腾讯实时音视频
- 腾讯即时通信IM
- 微信公众平台技术文档
- 白鹭引擎官网
- 白鹭引擎开放平台
- 白鹭引擎开发文档
- FairyGUI编辑器
- PureMVC-TypeScript
- 讯飞开放平台
- 亲加通讯云
- Cygwin
- Mono开发者联盟
- Scut游戏服务器引擎
- KBEngine游戏服务器引擎
- Photon游戏服务器引擎
- 码云
- SharpSvn
- 腾讯bugly
- 4399原创平台
- 开源中国
- Firebase
- Firebase-Admob-Unity
- google-services-unity
- Firebase SDK for Unity
- Google-Firebase-SDK
- AppsFlyer SDK
- android-repository
- CQASO
- Facebook开发者平台
- gradle下载
- GradleBuildTool下载
- Android Developers
- Google中国开发者
- AndroidDevTools
- Android社区
- Android开发工具
- Google Play Games Services
- Google商店
- Google APIs for Android
- 金钱豹VPN
- TouchSense SDK
- MakeHuman
- Online RSA Key Converter
- Windows UWP应用
- Visual Studio For Unity
- Open CASCADE Technology
- 慕课网
- 阿里云服务器ECS
- 在线免费文字转语音系统
- AI Studio
- 网云穿
- 百度网盘开放平台
- 迅捷画图
- 菜鸟工具
- [CSDN] 程序员研修院
- 华为人脸识别
- 百度AR导航导览SDK
- 海康威视官网
- 海康开放平台
- 海康SDK下载
- git download
- Open CASCADE
- CascadeStudio
- OpenClaw中文社区
- three.js manual
- SVG官方文档
交流QQ群
-
Flash游戏设计: 86184192
Unity游戏设计: 171855449
游戏设计订阅号










