正交矩阵
作者:追风剑情 发布于:2018-9-5 20:43 分类:计算机图形学
一、运算法则
若方阵M是正交的,则当且仅当M与它转置MT的乘积等于单位矩阵。
因为矩阵乘以它的逆等于单位矩阵:MMT=I。所以,如果一个矩阵是正交的,那么它的转置等于它的逆。
这是一条非常有用的性质,因为在实际应用中经常需要计算矩阵的逆,而3D图形计算中正交矩阵出现得又是如此频繁(旋转和镜像矩阵都是正交的)。如果知道矩阵是正交的,就可以完全避免计算逆矩阵了,这也将大大减少计算量。
二、几何解释
以3×3矩阵为例,检测它的正交性:
设M是3×3矩阵,根据定义,当且仅当MMT=I时M是正交的。它的确切含义如下:
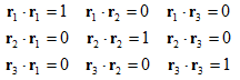
这给出了9个等式,如果M是正交的,它们必须全部成立:
设r1,r2,r3为M的行:
将这9个等式写得更加紧凑,有:
现在做一些解释:
第一,当且仅当一个向量是单位向量时,它与它自身的点积结果是1。因此,仅当r1,r2,r3是单位向量时,第1、4、9式才能成立。
第二,当且仅当两个向量互相垂直时,它们的点积为零。因此,仅当r1,r2,r3互相垂直时其他等式才成立。
所以,若一个矩阵是正交的,它必须满足下列条件:
1.矩阵的每一行都是单位向量。
2.矩阵的所有行互相垂直。
对矩阵的列也能得到类似的条件。这使得以下结论非常清楚:如果M是正交的,则MT也是正交的。
计算逆矩阵时,仅在预先知道矩阵是正交的情况下才能利用正交性的优点。如果预先不知道,那么检查正交性经常是浪费时间。即使在最好的情况下,先检查正交性以确定矩阵是否正交再进行转置,和一开始进行求逆运算也将耗费同样多的时间。而如果矩阵不是正交的,那么这种检查完全是浪费时间。
注意,有一个术语上的差别可能会导致轻微的混淆。线性代数中,如果一组向量互相垂直,这组向量就被认为是正交基(orthogonal basis)。它只要求所有向量互相垂直,并不要求所有向量都是单位向量。如果它们都是单位向量,则称它们为标准正交基(orthonormal basis)。
三、矩阵正交化
有时可能会遇到略微违反了正交性的矩阵。例如,可能从外部得到了坏数据,或者是浮点数运算的累积错误(称作“矩阵爬行”)。这些情况下,需要做矩阵正交化,得到一个正交矩阵,这个矩阵要尽可能地和原矩阵相同(至少希望是这样)。
构造一组正交基向量(矩阵的行)的标准算法是施密特正交化。它的基本思想是,对每一行,从中减去它平行于已处理过的行的部分,最后得到垂直向量。
以3×3矩阵为例,和以前一样,用r1,r2,r3代表3×3矩阵M的行。正交向量组r1',r2',r3'的计算如公式:
3D基向量的施密特正交化
现在r1',r2',r3'互相垂直了,它们是一组正交基。当然,它们不一定是单位向量。构造正交矩阵需要使用标准正交基,所以必须标准化这些向量。注意,如果一开始就进行标准化,而不是在第2步中做,就能避免所有除法了。
施密特正交化是有偏差的,这取决于基向量列出的顺序。一个明显的例子是,r1总不用改变。该算法的一个改进是不在一次正交化过程中将整个矩阵完全正交化。而是选择一个小的因子k,每次只减去投影的k倍,而不是一将将投影全部减去。改进还体现在,在最初的轴上也减去投影。这种方法避免了因为运算顺序不同带来的误差。算法总结如下:
该算法的每次迭代都会使这些基向量比原来的基向量集更为正交化,但可能不是完全正交的,多次重复这个过程,最终将得到一组正交基。要得到完美的结果,就得选择一个适当的因子k并迭代足够多次(如,10次)。接着,进行标准化,最后就会得到一组标准正交基。
标签: 计算机图形学
日历
最新文章
随机文章
热门文章
分类
存档
- 2026年4月(7)
- 2026年3月(15)
- 2026年2月(3)
- 2026年1月(6)
- 2025年12月(1)
- 2025年11月(1)
- 2025年9月(3)
- 2025年7月(4)
- 2025年6月(5)
- 2025年5月(1)
- 2025年4月(5)
- 2025年3月(4)
- 2025年2月(3)
- 2025年1月(1)
- 2024年12月(5)
- 2024年11月(5)
- 2024年10月(5)
- 2024年9月(3)
- 2024年8月(3)
- 2024年7月(11)
- 2024年6月(3)
- 2024年5月(9)
- 2024年4月(10)
- 2024年3月(11)
- 2024年2月(24)
- 2024年1月(12)
- 2023年12月(3)
- 2023年11月(9)
- 2023年10月(7)
- 2023年9月(2)
- 2023年8月(7)
- 2023年7月(9)
- 2023年6月(6)
- 2023年5月(7)
- 2023年4月(11)
- 2023年3月(6)
- 2023年2月(11)
- 2023年1月(8)
- 2022年12月(2)
- 2022年11月(4)
- 2022年10月(10)
- 2022年9月(2)
- 2022年8月(13)
- 2022年7月(7)
- 2022年6月(11)
- 2022年5月(18)
- 2022年4月(29)
- 2022年3月(5)
- 2022年2月(6)
- 2022年1月(8)
- 2021年12月(5)
- 2021年11月(3)
- 2021年10月(4)
- 2021年9月(9)
- 2021年8月(14)
- 2021年7月(8)
- 2021年6月(5)
- 2021年5月(2)
- 2021年4月(3)
- 2021年3月(7)
- 2021年2月(2)
- 2021年1月(8)
- 2020年12月(7)
- 2020年11月(2)
- 2020年10月(6)
- 2020年9月(9)
- 2020年8月(10)
- 2020年7月(9)
- 2020年6月(18)
- 2020年5月(4)
- 2020年4月(25)
- 2020年3月(38)
- 2020年1月(21)
- 2019年12月(13)
- 2019年11月(29)
- 2019年10月(44)
- 2019年9月(17)
- 2019年8月(18)
- 2019年7月(25)
- 2019年6月(25)
- 2019年5月(17)
- 2019年4月(10)
- 2019年3月(36)
- 2019年2月(35)
- 2019年1月(28)
- 2018年12月(30)
- 2018年11月(22)
- 2018年10月(4)
- 2018年9月(7)
- 2018年8月(13)
- 2018年7月(13)
- 2018年6月(6)
- 2018年5月(5)
- 2018年4月(13)
- 2018年3月(5)
- 2018年2月(3)
- 2018年1月(8)
- 2017年12月(35)
- 2017年11月(17)
- 2017年10月(16)
- 2017年9月(17)
- 2017年8月(20)
- 2017年7月(34)
- 2017年6月(17)
- 2017年5月(15)
- 2017年4月(32)
- 2017年3月(8)
- 2017年2月(2)
- 2017年1月(5)
- 2016年12月(14)
- 2016年11月(26)
- 2016年10月(12)
- 2016年9月(25)
- 2016年8月(32)
- 2016年7月(14)
- 2016年6月(21)
- 2016年5月(17)
- 2016年4月(13)
- 2016年3月(8)
- 2016年2月(8)
- 2016年1月(18)
- 2015年12月(13)
- 2015年11月(15)
- 2015年10月(12)
- 2015年9月(18)
- 2015年8月(21)
- 2015年7月(35)
- 2015年6月(13)
- 2015年5月(9)
- 2015年4月(4)
- 2015年3月(5)
- 2015年2月(4)
- 2015年1月(13)
- 2014年12月(7)
- 2014年11月(5)
- 2014年10月(4)
- 2014年9月(8)
- 2014年8月(16)
- 2014年7月(26)
- 2014年6月(22)
- 2014年5月(28)
- 2014年4月(15)
友情链接
- Unity官网
- Unity圣典
- Unity在线手册
- Unity中文手册(圣典)
- Unity官方中文论坛
- Unity游戏蛮牛用户文档
- Unity下载存档
- Unity引擎源码下载
- Unity服务
- Unity Ads
- wiki.unity3d
- Visual Studio Code官网
- SenseAR开发文档
- MSDN
- C# 参考
- C# 编程指南
- .NET Framework类库
- .NET 文档
- .NET 开发
- WPF官方文档
- uLua
- xLua
- SharpZipLib
- Protobuf-net
- Protobuf.js
- OpenSSL
- OPEN CASCADE
- JSON
- MessagePack
- C在线工具
- 游戏蛮牛
- GreenVPN
- 聚合数据
- 热云
- 融云
- 腾讯云
- 腾讯开放平台
- 腾讯游戏服务
- 腾讯游戏开发者平台
- 腾讯课堂
- 微信开放平台
- 腾讯实时音视频
- 腾讯即时通信IM
- 微信公众平台技术文档
- 白鹭引擎官网
- 白鹭引擎开放平台
- 白鹭引擎开发文档
- FairyGUI编辑器
- PureMVC-TypeScript
- 讯飞开放平台
- 亲加通讯云
- Cygwin
- Mono开发者联盟
- Scut游戏服务器引擎
- KBEngine游戏服务器引擎
- Photon游戏服务器引擎
- 码云
- SharpSvn
- 腾讯bugly
- 4399原创平台
- 开源中国
- Firebase
- Firebase-Admob-Unity
- google-services-unity
- Firebase SDK for Unity
- Google-Firebase-SDK
- AppsFlyer SDK
- android-repository
- CQASO
- Facebook开发者平台
- gradle下载
- GradleBuildTool下载
- Android Developers
- Google中国开发者
- AndroidDevTools
- Android社区
- Android开发工具
- Google Play Games Services
- Google商店
- Google APIs for Android
- 金钱豹VPN
- TouchSense SDK
- MakeHuman
- Online RSA Key Converter
- Windows UWP应用
- Visual Studio For Unity
- Open CASCADE Technology
- 慕课网
- 阿里云服务器ECS
- 在线免费文字转语音系统
- AI Studio
- 网云穿
- 百度网盘开放平台
- 迅捷画图
- 菜鸟工具
- [CSDN] 程序员研修院
- 华为人脸识别
- 百度AR导航导览SDK
- 海康威视官网
- 海康开放平台
- 海康SDK下载
- git download
- Open CASCADE
- CascadeStudio
- OpenClaw中文社区
- three.js manual
- SVG官方文档
交流QQ群
-
Flash游戏设计: 86184192
Unity游戏设计: 171855449
游戏设计订阅号













