高等数学——定积分
作者:追风剑情 发布于:2021-9-19 13:42 分类:Algorithms
引例:曲边梯形
由曲线y=f(x),直线x=a,x=b以及x轴所围成的图形AabB称为曲边梯形。
定积分可用来求曲边梯形的面积,而在不同的场景下曲边梯形的面积又有不同的含义。例如:
1、将f(x)看作变速曲线,那么曲边梯形的面积就等于变速直线运动的路程。
2、将f(x)看作变力曲线,那么曲边梯形的面积就等于变力沿直线所做的功。
注1 从定积分的定义可以看出,
是否存在以及存在时等于的极限值,与对区间[a, b]的分法以及在小区间[xi-1, xi]上ζi的取法均是无关的;
注2 定积分的概念与导数、微分概念不同,定积分所涉及的是函数f(x)在整个区间[a, b]上的一个整体性质,即定积分的值与函数f(x)在[a, b]中的每个“局部”都有关;
注3 定积分的数值与积分变量记号无关,只与函数f(x)本身及区间[a, b]有关,与积分变量用什么符号表示无关,即
根据定积分的定义,从引入定积分的三个例子可以看到:
由曲线y=f(x) (f(x)≥0)及直线 x=a, x=b 和 x 轴所围成的曲边梯形的面积为
作变速直线运动的质点,速度为v(t),从 t=T1 到 t=T2 一段时间经过的路程为
变力F(x)在某一直线距离[a, b]所做的功为
从这个例子可以看到,直接用定义计算定积分是麻烦的,以后我们将有较为简单的方法。另一方面,定积分是一种特殊和式的极限,反过来也可以将某些特殊和式极限表示为定积分。
四、定积分的性质
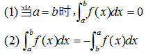
为了进一步讨论定积分的理论与计算,先介绍定积分的基本性质。在性质中总是假设定积分都是存在的,不再一一申明。另外,对定积分我们还要作以下两条补充规定:
由(2)可知,交换定积分的上下限时,定积分的绝对值不变而符号相反。
性质 1 两个函数的和(差)的定积分等于它们的定积分的和(差),即
性质 2 被积函数的常数因子可以提到积分号外,即
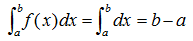
性质 3 如果在区间[a, b]上f(x)≡1,则
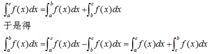
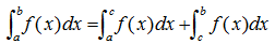
性质 4 (区间可加性)若把积分区间[a, b]分成两部分[a, c]与[c, b],则有
证 因为函数f(x)在区间[a, b]上可积,所以不论把区间[a, b]怎样分,积分和式的极限总是不变的。因此,我们在分区间时,永远把c取作一个分点,那么,[a, b]上的和式等于[a, c]上的和式加上[c, b]上的和式,记为
当λ→0时,上式两端同时取极限,再由定积分的定义,即得
顺便说明一下,当点c在区间[a, b]之外时,即c<a<b或a<b<c时,上式仍然成立,例如,当a<b<c时,由于
性质 5 如果在区间[a, b]上,f(x)≥0,则
推论 1 如果在区间[a, b]上,f(x)≤g(x),则
性质 6 (估值定理)设M及m分别是函数f(x)在区间[a, b]上的最大值和最小值,则
标签: Algorithms
日历
最新文章
随机文章
热门文章
分类
存档
- 2026年4月(7)
- 2026年3月(15)
- 2026年2月(3)
- 2026年1月(6)
- 2025年12月(1)
- 2025年11月(1)
- 2025年9月(3)
- 2025年7月(4)
- 2025年6月(5)
- 2025年5月(1)
- 2025年4月(5)
- 2025年3月(4)
- 2025年2月(3)
- 2025年1月(1)
- 2024年12月(5)
- 2024年11月(5)
- 2024年10月(5)
- 2024年9月(3)
- 2024年8月(3)
- 2024年7月(11)
- 2024年6月(3)
- 2024年5月(9)
- 2024年4月(10)
- 2024年3月(11)
- 2024年2月(24)
- 2024年1月(12)
- 2023年12月(3)
- 2023年11月(9)
- 2023年10月(7)
- 2023年9月(2)
- 2023年8月(7)
- 2023年7月(9)
- 2023年6月(6)
- 2023年5月(7)
- 2023年4月(11)
- 2023年3月(6)
- 2023年2月(11)
- 2023年1月(8)
- 2022年12月(2)
- 2022年11月(4)
- 2022年10月(10)
- 2022年9月(2)
- 2022年8月(13)
- 2022年7月(7)
- 2022年6月(11)
- 2022年5月(18)
- 2022年4月(29)
- 2022年3月(5)
- 2022年2月(6)
- 2022年1月(8)
- 2021年12月(5)
- 2021年11月(3)
- 2021年10月(4)
- 2021年9月(9)
- 2021年8月(14)
- 2021年7月(8)
- 2021年6月(5)
- 2021年5月(2)
- 2021年4月(3)
- 2021年3月(7)
- 2021年2月(2)
- 2021年1月(8)
- 2020年12月(7)
- 2020年11月(2)
- 2020年10月(6)
- 2020年9月(9)
- 2020年8月(10)
- 2020年7月(9)
- 2020年6月(18)
- 2020年5月(4)
- 2020年4月(25)
- 2020年3月(38)
- 2020年1月(21)
- 2019年12月(13)
- 2019年11月(29)
- 2019年10月(44)
- 2019年9月(17)
- 2019年8月(18)
- 2019年7月(25)
- 2019年6月(25)
- 2019年5月(17)
- 2019年4月(10)
- 2019年3月(36)
- 2019年2月(35)
- 2019年1月(28)
- 2018年12月(30)
- 2018年11月(22)
- 2018年10月(4)
- 2018年9月(7)
- 2018年8月(13)
- 2018年7月(13)
- 2018年6月(6)
- 2018年5月(5)
- 2018年4月(13)
- 2018年3月(5)
- 2018年2月(3)
- 2018年1月(8)
- 2017年12月(35)
- 2017年11月(17)
- 2017年10月(16)
- 2017年9月(17)
- 2017年8月(20)
- 2017年7月(34)
- 2017年6月(17)
- 2017年5月(15)
- 2017年4月(32)
- 2017年3月(8)
- 2017年2月(2)
- 2017年1月(5)
- 2016年12月(14)
- 2016年11月(26)
- 2016年10月(12)
- 2016年9月(25)
- 2016年8月(32)
- 2016年7月(14)
- 2016年6月(21)
- 2016年5月(17)
- 2016年4月(13)
- 2016年3月(8)
- 2016年2月(8)
- 2016年1月(18)
- 2015年12月(13)
- 2015年11月(15)
- 2015年10月(12)
- 2015年9月(18)
- 2015年8月(21)
- 2015年7月(35)
- 2015年6月(13)
- 2015年5月(9)
- 2015年4月(4)
- 2015年3月(5)
- 2015年2月(4)
- 2015年1月(13)
- 2014年12月(7)
- 2014年11月(5)
- 2014年10月(4)
- 2014年9月(8)
- 2014年8月(16)
- 2014年7月(26)
- 2014年6月(22)
- 2014年5月(28)
- 2014年4月(15)
友情链接
- Unity官网
- Unity圣典
- Unity在线手册
- Unity中文手册(圣典)
- Unity官方中文论坛
- Unity游戏蛮牛用户文档
- Unity下载存档
- Unity引擎源码下载
- Unity服务
- Unity Ads
- wiki.unity3d
- Visual Studio Code官网
- SenseAR开发文档
- MSDN
- C# 参考
- C# 编程指南
- .NET Framework类库
- .NET 文档
- .NET 开发
- WPF官方文档
- uLua
- xLua
- SharpZipLib
- Protobuf-net
- Protobuf.js
- OpenSSL
- OPEN CASCADE
- JSON
- MessagePack
- C在线工具
- 游戏蛮牛
- GreenVPN
- 聚合数据
- 热云
- 融云
- 腾讯云
- 腾讯开放平台
- 腾讯游戏服务
- 腾讯游戏开发者平台
- 腾讯课堂
- 微信开放平台
- 腾讯实时音视频
- 腾讯即时通信IM
- 微信公众平台技术文档
- 白鹭引擎官网
- 白鹭引擎开放平台
- 白鹭引擎开发文档
- FairyGUI编辑器
- PureMVC-TypeScript
- 讯飞开放平台
- 亲加通讯云
- Cygwin
- Mono开发者联盟
- Scut游戏服务器引擎
- KBEngine游戏服务器引擎
- Photon游戏服务器引擎
- 码云
- SharpSvn
- 腾讯bugly
- 4399原创平台
- 开源中国
- Firebase
- Firebase-Admob-Unity
- google-services-unity
- Firebase SDK for Unity
- Google-Firebase-SDK
- AppsFlyer SDK
- android-repository
- CQASO
- Facebook开发者平台
- gradle下载
- GradleBuildTool下载
- Android Developers
- Google中国开发者
- AndroidDevTools
- Android社区
- Android开发工具
- Google Play Games Services
- Google商店
- Google APIs for Android
- 金钱豹VPN
- TouchSense SDK
- MakeHuman
- Online RSA Key Converter
- Windows UWP应用
- Visual Studio For Unity
- Open CASCADE Technology
- 慕课网
- 阿里云服务器ECS
- 在线免费文字转语音系统
- AI Studio
- 网云穿
- 百度网盘开放平台
- 迅捷画图
- 菜鸟工具
- [CSDN] 程序员研修院
- 华为人脸识别
- 百度AR导航导览SDK
- 海康威视官网
- 海康开放平台
- 海康SDK下载
- git download
- Open CASCADE
- CascadeStudio
- OpenClaw中文社区
- three.js manual
- SVG官方文档
交流QQ群
-
Flash游戏设计: 86184192
Unity游戏设计: 171855449
游戏设计订阅号



























