B-样条曲线
作者:追风剑情 发布于:2019-4-16 12:17 分类:Algorithms
以 Bernstein 基函数构造的 Bézier 曲线有许多优点,但也有不足:一是控制多边形的顶点个数决定了 Bézier 曲线的阶次,即 n+1 个顶点的控制多边形必然会产生 n 次 Bézier 曲线,并且当 n 较大时,控制多边形对曲线的控制将会减弱。二是 Bézier 曲线不能做局部修改,即改变某一个控制点的位置对整条曲线都有影响。其原因主要是 Bernstein 基函数在整个开区间 (0,1) 的范围内均不为 0,所以曲线在开区间内任何一点的值均要受到全部顶点的影响,改变其中某一顶点的位置对整个曲线均有影响。
B样条方法保留了Bézier方法的优点,克服其由于整体表示带来的不具备局部性质的缺点,具有表示与设计自由型曲线曲面的强大功能。另外,B样条方法目前已成为关于工业产品几何定义国标标准的有理B样条方法的基础。因此,B样条方法是形状数学描述的主流法之一。关于B样条的理论早在1946年就由Schoenberg 提出,但论文直到1967年才发表。1972年 de Boor 与 Cox 分别独立地给出关于样条计算的标准算法。但该方法作为在 CAGD中的一个形状数学描述的基本方法,是由 Gordon 和 Riesenfeld 于1974年在研究 Bézier 方法的基础上引人的。他们拓广了Bézier曲线,用B样条基代替Bernstein基,从而改进了 Bézier 控制多边形与 Bernstein 多项式次数有关和整体逼近的弱点。
B样条曲线的定义
给定n+1个控制点P0,P1,...Pn,它们所确定的k阶B样条曲线是
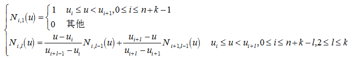
式中,基函数Ni,k(u)递归定义如下:
从定义的公式可知,高阶曲线由两个低一阶的相同曲线(形状相同,位置不同,位置相距1个节点区间)通过线性插值的方式混合而成。
因为u的下标最大值为n+k,所以i+l的最大值为n+k,即i+l=n+k,得i=n+k-l。又因为u的下标最小值为0,所以$0 \le i \le n+k-l$。
式中,u0,u1,...,un+k是一个非递减的序列,称为节点;(u0,u1,...,un+k)称为节点向量。定义中可能出现0/0,这时约定为0。
节点向量(u0,u1,...,un+k)所包含的n+k个区间并非都在该曲线的定义域内,其中两端各k-1个节点区间,不能作为B样条曲线的定义区间。这是因为n+1个顶点中最前的k个顶点pi,(i=0,1,...,k-1)定义了样条曲线的首段曲线,其定义区间为u∈[uk-1,uk);随后的k个顶点Pi,(i=1,2,...,k)定义了第二段曲线,其定义区间为u∈[uk,uk+1);...;最后的k个顶点Pi,(i=n-k+1,n-k+2,...,n)定义了末段曲线,其定义区间为u∈[un,un+1]。于是,得到k阶B样条曲线的定义域为u∈[uk-1,un+1]。共含有n-k+2个节点区间(包括零长度的节点区间)。若其中不含重节点,则对应B样条曲线包含n-k+2段。也可看到,节点向量两侧各k-1个节点区间上的那些B样条基函数因其权性不成立,不能构成基函数。
由k阶B样条曲线的递归定义可以看出:
1)对n+1个控制点,曲线由n+1个混合函数所描述。
2)每个混合函数Ni,k(u)定义在u取值范围的k个子区间,以节点向量值ui为起点。
3)参数u的取值范围由n+k+1个给定节点向量值分成n+k个子区间。
4)节点向量(u0,u1,...,un+k)所生成的B样条曲线仅定义在从节点值uk-1到节点值un+1的区间上。
5)任一控制点可以影响最多k个曲线段的形状。
6)P(u)是分段参数多项式,P(u)在每一区间u∈[ui,ui+1],(k-1≤i≤n)上都是次数不高于k-1的多项式。
从B样条曲线的这个递归定义可以看出,曲线与给定的阶数k及节点向量都有关系。就是说,即使k相同,选择不同的节点向量,也能得到不同的曲线。
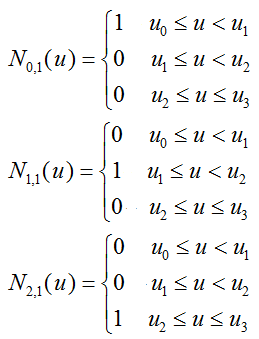
任意的一阶B样条曲线就是控制点本身,可以看作是零次多项式。例如,n=2,k=1,控制点是P0,P1,P2,这样应选择参数节点n+k+1=4个,设节点向量是(u0,u1,u2,u3),按照定义,可写出三个基函数:
由上式可知所定义的B样条曲线是 $$ \begin{flalign} P(u)&=N_{0,1}(u)P_0+N_{1,1}(u)P_1+N_{2,1}(u)P_2 &\\ &= \left\{ \begin{aligned} P0 \quad u_0 \le u < u_1 \\ P1 \quad u_1 \le u < u_2 \\ P2 \quad u_2 \le u \le u_3 \\ \end{aligned} \right. \end{flalign} $$
二阶B样条$N_{i,2}(u)$由两个一阶B样条$N_{i,1}(u)$与$N_{i+1,1}(u)$递归推得,是它们的凸线性组合,即 $$ N_{i,2}(u)=\frac{u-u_i}{u_{i+1}-u_i}N_{i,1}(u)+\frac{u_{i+2}-u}{u_{i+2}-u_{i+1}}N_{i+1,1}(u) $$ 式中 $$ N_{i,1}(u)= \left\{ \begin{aligned} 1 \quad u \in [u_i, u_{i+1}) \\ 0 \quad u \notin [u_i, u_{i+1}) \\ \end{aligned} \right. $$ $$ N_{i+1,1}(u)= \left\{ \begin{aligned} 1 \quad u \in [u_{i+1}, u_{i+2}) \\ 0 \quad u \notin [u_{i+1}, u_{i+2}) \\ \end{aligned} \right. $$ 它们就像开关那样发生作用,即1表示接通,0表示断开。于是得到 $$ N_{i,2}(u)= \left\{ \begin{aligned} &\frac{u-u_i}{u_{i+1}-u_i} & u \in [u_{i}, u_{i+1}) \\ &\frac{u_{i+2}-u}{u_{i+2}-u_{i+1}} & u \in [u_{i+1}, u_{i+2}) \\ &0 & u \notin [u_{i}, u_{i+2}) \\ \end{aligned} \right. $$
节点向量为(0, 1, 2)的二阶B样条基函数如图4-23所示。如此继续下去,可由B样条$N_{i+1,1}(u)$与$N_{i+2,1}(u)$递归推得B样条$N_{i+1,2}(u)$。再由两个二阶B样条$N_{i,2}(u)$与$N_{i+1,2}(u)$进一步递归推得三阶B样条$N_{i,3}(u)$,如此继续下去可计算出其他的三阶B样条。四阶B样条的计算也以此类推。图4-24和图4-25分别给出了节点向量为(0,1,2,3)和(0,1,2,3,4)的三阶和四阶B样条。
递推公式表明,k阶B样条$N_{i,k}(u)$可由两个k-1阶B样条$N_{i,k-1}(u)$与$N_{i+1,k-1}(u)$递推得到。其凸线性组合的系数分别为$\frac{u-u_i}{u_{i+k-1}-u_i}$与$\frac{u_{i+k}-u}{u_{i+k}-u_{i+1}}$,两个系数的分母恰好是两个k-1阶B样条的支承区间,分子恰好是参数u把第i个k阶B样条$N_{i,k}(u)$的支承区间$[u_i, u_{i+k}]$划分成两部分的长度。
B样条基函数有下列性质:
(1)正性和局部性 $$ N_{i,k}(u) \left\{ \begin{aligned} &>0 & u_i < u < u_{i+k} \\ &=0 & \text{其它} \\ \end{aligned} \right. $$ 即$N_{i,k}(u)$在区间$(u_i, u_{i+k})$中为正,在其他地方$N_{i,k}(u)$为0。
(2)规范性 $$ 0 \le N_{i,k}(u) \le 1 $$
(3)权性
对从节点值$u_{k-1}$到$u_{n+1}$区间上的任一值u,全体基函数之和为1。
$$
\displaystyle\sum_{i=0}^{n}N_{i,k}(u)=1
$$
(4)递推性
由定义式表明。
借用网上的一张图片来理解控制点
P0,P1,P2,P3为控制点
借用网上的一张图来理解支撑区间与节点向量
[0, 2]、[1, 3]为两条二次样条曲线的支撑区间。(0, 1, 2, 3)为节点向量。
示例
using System;
using System.Collections.Generic;
using System.ComponentModel;
using System.Data;
using System.Drawing;
using System.Linq;
using System.Text;
using System.Windows.Forms;
namespace WindowsFormsAppB
{
public partial class Form1 : Form
{
public Form1()
{
InitializeComponent();
}
public void PaintControlPoint(PaintEventArgs e, BSpline.Point[] CP)
{
Graphics g = e.Graphics;
//绘制控制点
Pen dotPen = new Pen(Color.Red, 2);
for (int i = 0; i < CP.Length; i++) {
g.DrawEllipse(dotPen, (float)CP[i].x, (float)CP[i].y, 3, 3);
}
//绘制控制点连线
Pen linePen = new Pen(Color.Red, 1);
for (int i = 1; i < CP.Length; i++) {
g.DrawLine(linePen, (float)CP[i].x, (float)CP[i].y, (float)CP[i-1].x, (float)CP[i-1].y);
}
}
public void PaintCurvePoints(PaintEventArgs e, BSpline.Point[] pts)
{
Graphics g = e.Graphics;
Pen myPen = new Pen(Color.Blue, 2);
for (int i = 0; i < pts.Length; i++) {
g.DrawEllipse(myPen, (float)pts[i].x, (float)pts[i].y, 1, 1);
}
}
public void PaintCurveLerp(PaintEventArgs e, BSpline.Point[] CP, double[] knot, double u)
{
BSpline.Point tp = BSpline.Lerp(CP, knot, u);
Graphics g = e.Graphics;
Pen myPen = new Pen(Color.Green, 2);
g.DrawEllipse(myPen, (float)tp.x, (float)tp.y, 1, 1);
}
private void Form1_Paint(object sender, PaintEventArgs e)
{
int k = 3;
//控制点
BSpline.Point[] CP = {
//加个重复节点,让曲线经过起始控制点
new BSpline.Point{ x=0, y=100},
new BSpline.Point{ x=0, y=100},
new BSpline.Point{ x=100, y=0},
new BSpline.Point{ x=200, y=100},
new BSpline.Point{ x=300, y=0},
new BSpline.Point{ x=400, y=100},
//加个重复节点,让曲线经过终止控制点
new BSpline.Point{ x=400, y=100}
};
//节点向量
double[] knot =
{
0, 100, 200, 300, 400, 500, 600, 700, 800, 900
};
//一次性计算出所有插值点
BSpline.Point[] pts = BSpline.SplinePoints(CP, CP.Length - 1, knot, 100);
PaintCurvePoints(e, pts);
//控制点
BSpline.Point[] CP1 = {
new BSpline.Point{ x=0, y=300},
new BSpline.Point{ x=0, y=300},
new BSpline.Point{ x=100, y=200},
new BSpline.Point{ x=200, y=300},
new BSpline.Point{ x=300, y=200},
new BSpline.Point{ x=400, y=300},
new BSpline.Point{ x=400, y=300}
};
//------end
//用插值方式绘制曲线
double u0 = knot[k - 1];//起始插值点
for (double u=u0; u<=700; u+=5)
{
PaintCurveLerp(e, CP1, knot, u);
}
//------end
//绘制控制点
PaintControlPoint(e, CP);
PaintControlPoint(e, CP1);
}
}
/// <summary>
/// B-样条曲线
/// </summary>
public class BSpline
{
private const int k = 3; //三次B-样条曲线
/// <summary>
/// 插值方法
/// </summary>
/// <param name="CP">控制点坐标</param>
/// <param name="knot">曲线结点向量</param>
/// <param name="u">插值点</param>
/// <returns></returns>
public static Point Lerp(Point[] CP, double[] knot, double u)
{
int n = CP.Length;
int i = 0;
while ((i < n) && (u > knot[i + 1])) i++;
return Deboor(CP, i, k, knot, u);
}
/// <summary>
/// 计算曲线离散点序列
/// </summary>
/// <param name="CP">控制点坐标</param>
/// <param name="n">控制点个数</param>
/// <param name="k">曲线的阶数</param>
/// <param name="knot">曲线结点向量</param>
/// <param name="npoints">要计算出的离散点个数</param>
/// <returns>采用德布尔(de Boor)算法生成的曲线上的离散点序列pts</returns>
public static Point[] SplinePoints(Point[] CP, int n, double[] knot, int npoints)
{
Point[] pts = new Point[npoints];
double u, delt;
int i, j;
//在每个节点区间,将参数t变化区间进行npoints等分
delt = (knot[n + 1] - knot[k - 1]) / (double)npoints;
i = k - 1;
u = knot[k-1];
for(j=0; j<npoints; j++)
{
//确定参数u所在的节点区间[ui, ui+1)
while ((i < n) && (u > knot[i + 1])) i++;
//在每个节点区间,分别求出npoints个离散点pts的坐标
pts[j] = Deboor(CP, i, k, knot, u);
u += delt;
}
return pts;
}
/// <summary>
/// 用德布尔(de Boor)算法计算出插值点u的坐标
/// 结点数(m)=控制点数(n)+次数(p)+1
/// 举例: 14个控制点定义的6次B-样条曲线,其节点的数目是21=14+6+1
/// </summary>
/// <param name="CP">控制点坐标</param>
/// <param name="i">第i个曲线段, i∈[0, n+k-l]</param>
/// <param name="k">曲线的阶数</param>
/// <param name="knot">曲线结点向量</param>
/// <param name="u">变化范围为[ui, ui+1)</param>
/// <returns>曲线在参数为t的坐标值</returns>
public static Point Deboor(Point[] CP, int i, int k, double[] knot, double u)
{
double denom, alpha;
Point[] p = new Point[k];
const double epsilon = 0.0005;
int index = 0;
//p[]存放要参与计算的控制点
for (int l = 0; l < k; l++)
{
index = i - k + l + 1;
if (index < 0)
p[l] = CP[0].Clone();
else if (index >= CP.Length)
p[l] = CP[CP.Length - 1].Clone();
else
p[l] = CP[index].Clone();
}
//进行k-1次循环,即进行k-1级递推
for(int r=1; r<k; r++)
{
//在每一级递推中,按照递减的顺序对控制顶点进行更新
//按递减顺序更新,是为了确保已更新的控制顶点
//不会对未更新的控制顶点的计算产生影响
for(int m=k-1; m>=r; m--)
{
int j = m + i - k + 1;
denom = knot[j + k - r] - knot[j];//分母为前一阶曲线的支撑区间
if (Math.Abs(denom) < epsilon)
alpha = 0;
else
alpha = (u - knot[j]) / denom;
//(1 - 比例因子) * 控制点坐标 + 比例因子 * 控制点坐标
p[m].x = (1 - alpha) * p[m - 1].x + alpha * p[m].x;
p[m].y = (1 - alpha) * p[m - 1].y + alpha * p[m].y;
}
}
return p[k-1];
}
#region Point
public class Point
{
public double x;
public double y;
public double z;
public Point Clone()
{
Point p = new Point();
p.x = x;
p.y = y;
p.z = z;
return p;
}
}
#endregion
}
}
运行测试
标签: Algorithms
日历
最新文章
随机文章
热门文章
分类
存档
- 2026年4月(7)
- 2026年3月(15)
- 2026年2月(3)
- 2026年1月(6)
- 2025年12月(1)
- 2025年11月(1)
- 2025年9月(3)
- 2025年7月(4)
- 2025年6月(5)
- 2025年5月(1)
- 2025年4月(5)
- 2025年3月(4)
- 2025年2月(3)
- 2025年1月(1)
- 2024年12月(5)
- 2024年11月(5)
- 2024年10月(5)
- 2024年9月(3)
- 2024年8月(3)
- 2024年7月(11)
- 2024年6月(3)
- 2024年5月(9)
- 2024年4月(10)
- 2024年3月(11)
- 2024年2月(24)
- 2024年1月(12)
- 2023年12月(3)
- 2023年11月(9)
- 2023年10月(7)
- 2023年9月(2)
- 2023年8月(7)
- 2023年7月(9)
- 2023年6月(6)
- 2023年5月(7)
- 2023年4月(11)
- 2023年3月(6)
- 2023年2月(11)
- 2023年1月(8)
- 2022年12月(2)
- 2022年11月(4)
- 2022年10月(10)
- 2022年9月(2)
- 2022年8月(13)
- 2022年7月(7)
- 2022年6月(11)
- 2022年5月(18)
- 2022年4月(29)
- 2022年3月(5)
- 2022年2月(6)
- 2022年1月(8)
- 2021年12月(5)
- 2021年11月(3)
- 2021年10月(4)
- 2021年9月(9)
- 2021年8月(14)
- 2021年7月(8)
- 2021年6月(5)
- 2021年5月(2)
- 2021年4月(3)
- 2021年3月(7)
- 2021年2月(2)
- 2021年1月(8)
- 2020年12月(7)
- 2020年11月(2)
- 2020年10月(6)
- 2020年9月(9)
- 2020年8月(10)
- 2020年7月(9)
- 2020年6月(18)
- 2020年5月(4)
- 2020年4月(25)
- 2020年3月(38)
- 2020年1月(21)
- 2019年12月(13)
- 2019年11月(29)
- 2019年10月(44)
- 2019年9月(17)
- 2019年8月(18)
- 2019年7月(25)
- 2019年6月(25)
- 2019年5月(17)
- 2019年4月(10)
- 2019年3月(36)
- 2019年2月(35)
- 2019年1月(28)
- 2018年12月(30)
- 2018年11月(22)
- 2018年10月(4)
- 2018年9月(7)
- 2018年8月(13)
- 2018年7月(13)
- 2018年6月(6)
- 2018年5月(5)
- 2018年4月(13)
- 2018年3月(5)
- 2018年2月(3)
- 2018年1月(8)
- 2017年12月(35)
- 2017年11月(17)
- 2017年10月(16)
- 2017年9月(17)
- 2017年8月(20)
- 2017年7月(34)
- 2017年6月(17)
- 2017年5月(15)
- 2017年4月(32)
- 2017年3月(8)
- 2017年2月(2)
- 2017年1月(5)
- 2016年12月(14)
- 2016年11月(26)
- 2016年10月(12)
- 2016年9月(25)
- 2016年8月(32)
- 2016年7月(14)
- 2016年6月(21)
- 2016年5月(17)
- 2016年4月(13)
- 2016年3月(8)
- 2016年2月(8)
- 2016年1月(18)
- 2015年12月(13)
- 2015年11月(15)
- 2015年10月(12)
- 2015年9月(18)
- 2015年8月(21)
- 2015年7月(35)
- 2015年6月(13)
- 2015年5月(9)
- 2015年4月(4)
- 2015年3月(5)
- 2015年2月(4)
- 2015年1月(13)
- 2014年12月(7)
- 2014年11月(5)
- 2014年10月(4)
- 2014年9月(8)
- 2014年8月(16)
- 2014年7月(26)
- 2014年6月(22)
- 2014年5月(28)
- 2014年4月(15)
友情链接
- Unity官网
- Unity圣典
- Unity在线手册
- Unity中文手册(圣典)
- Unity官方中文论坛
- Unity游戏蛮牛用户文档
- Unity下载存档
- Unity引擎源码下载
- Unity服务
- Unity Ads
- wiki.unity3d
- Visual Studio Code官网
- SenseAR开发文档
- MSDN
- C# 参考
- C# 编程指南
- .NET Framework类库
- .NET 文档
- .NET 开发
- WPF官方文档
- uLua
- xLua
- SharpZipLib
- Protobuf-net
- Protobuf.js
- OpenSSL
- OPEN CASCADE
- JSON
- MessagePack
- C在线工具
- 游戏蛮牛
- GreenVPN
- 聚合数据
- 热云
- 融云
- 腾讯云
- 腾讯开放平台
- 腾讯游戏服务
- 腾讯游戏开发者平台
- 腾讯课堂
- 微信开放平台
- 腾讯实时音视频
- 腾讯即时通信IM
- 微信公众平台技术文档
- 白鹭引擎官网
- 白鹭引擎开放平台
- 白鹭引擎开发文档
- FairyGUI编辑器
- PureMVC-TypeScript
- 讯飞开放平台
- 亲加通讯云
- Cygwin
- Mono开发者联盟
- Scut游戏服务器引擎
- KBEngine游戏服务器引擎
- Photon游戏服务器引擎
- 码云
- SharpSvn
- 腾讯bugly
- 4399原创平台
- 开源中国
- Firebase
- Firebase-Admob-Unity
- google-services-unity
- Firebase SDK for Unity
- Google-Firebase-SDK
- AppsFlyer SDK
- android-repository
- CQASO
- Facebook开发者平台
- gradle下载
- GradleBuildTool下载
- Android Developers
- Google中国开发者
- AndroidDevTools
- Android社区
- Android开发工具
- Google Play Games Services
- Google商店
- Google APIs for Android
- 金钱豹VPN
- TouchSense SDK
- MakeHuman
- Online RSA Key Converter
- Windows UWP应用
- Visual Studio For Unity
- Open CASCADE Technology
- 慕课网
- 阿里云服务器ECS
- 在线免费文字转语音系统
- AI Studio
- 网云穿
- 百度网盘开放平台
- 迅捷画图
- 菜鸟工具
- [CSDN] 程序员研修院
- 华为人脸识别
- 百度AR导航导览SDK
- 海康威视官网
- 海康开放平台
- 海康SDK下载
- git download
- Open CASCADE
- CascadeStudio
- OpenClaw中文社区
- three.js manual
- SVG官方文档
交流QQ群
-
Flash游戏设计: 86184192
Unity游戏设计: 171855449
游戏设计订阅号














