高等数学——微积分基本公式
作者:追风剑情 发布于:2021-10-28 20:32 分类:Algorithms
在引进定积分的概念时,曾经讨论过变速直线运动的路程。若质点运动的速度为v(t),则质点从时刻T1到T2所经过的路程为
另一方面,如果知道质点的运动规律(即位置函数)为 s=s(t) ,则质点从T1到T2所经过的路程为
从而有
由导数定义和 s`(t)=v(t),即
这就是微积分基本公式。这一公式表明,要求定积分
,可以不再从定积分定义出发,而从速度函数(被积函数)v(t),求路程函数 s(t) (被积函数的原函数),然后计算 s(T2)-s(T1)
一、变上限定积分
设函数f(x)在区间[a, b]连续,并且x为区间[a, b]上任一点,显然f(x)也在[a, x]上连续,于是积分
一定存在,这是一个上限为变量的定积分。因为定积分的值与积分变量无关,为了区别积分上限和积分变量,不妨把积分变量改用其他字母,比如用t来表示,这样,上面的定积分就可以写成
.
当x在区间[a, b]上取定,
就有一个确定的数值与之对应,所以该积分在区间[a, b]上定义了一个新的函数,称为积分上限的函数,记为Φ(x),即
在几何上,若f(x)≥0,函数Φ(x)表示右侧竖边可以变动的曲边梯形AaxC的面积(如下图所示),这个面积随着右侧竖边的位置x的改变而改变,当x给定后,这条竖边的位置也就确定了,于是面积Φ(x)也随之确定,因而Φ(x)有时也称为面积函数。
对函数Φ(x)有下面的重要性质:
定理 1 (对积分上限的导数)设函数f(x)在区间[a, b]上连续,则对[a, b]上任一点x,积分上限的函数
的导数存在,且
即对于变上限的定积分,对积分上限的导数等于被积函数在其上限处的值。
由原函数的定义,从定理1知Φ(x)是连续函数f(x)的一个原函数。因此,有下面的原函数的存在定理:
这个定理肯定了连续函数的原函数一定存在。同时,也初步揭示了定积分与原函数的关系。
二、牛顿(Newton)——莱布尼茨(Leibniz)公式
定理 3 如果函数F(x)是连续函数f(x)在区间[a, b]上的原函数,则
证 已知函数F(x)是连续函数f(x)的一个原函数,又由定理2知,积分上限的函数
也是f(x)的一个原函数,于是这两个函数之差必定等于某一个常数C0,即
在上式中,令 x=a,注意到
,故得
因此
再令 x=b,代入得
这个公式称为牛顿——莱布尼茨公式,它是微积分学中的基本公式,通常将F(b)-F(a)记为
,即
这个公式告诉我们:要计算定积分
的 数值,只需要求出被积函数f(x)的一个原函数,然后计算这个原函数在积分上限的函数值与积分下限的函数值之差。这样,就把求定积分的问题转化为求被积函数f(x)的原函数的问题了。
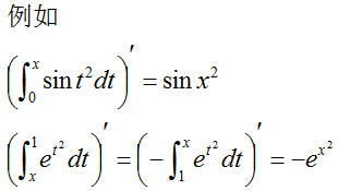
读者应注意:由于 0≤x≤2π时,cos(π/2)不是非负的,因此
(不加绝对值符号就错了),为了要计算积分
,必须先去掉被积函数的绝对值符号,因此,需将积分区间[0, 2π]分成两个区间[0, π]与[π, 2π],再用对区间的可加性将所求积分表示成两个积分之和。
最后,我们指出,由微积分基本公式知道,微分与积分互为逆运算,有着密切的联系。因此,有关微分的定理、公式与法则,往往和有关积分的定理、公式与法则相互成对出现。
标签: Algorithms
日历
最新文章
随机文章
热门文章
分类
存档
- 2026年4月(7)
- 2026年3月(15)
- 2026年2月(3)
- 2026年1月(6)
- 2025年12月(1)
- 2025年11月(1)
- 2025年9月(3)
- 2025年7月(4)
- 2025年6月(5)
- 2025年5月(1)
- 2025年4月(5)
- 2025年3月(4)
- 2025年2月(3)
- 2025年1月(1)
- 2024年12月(5)
- 2024年11月(5)
- 2024年10月(5)
- 2024年9月(3)
- 2024年8月(3)
- 2024年7月(11)
- 2024年6月(3)
- 2024年5月(9)
- 2024年4月(10)
- 2024年3月(11)
- 2024年2月(24)
- 2024年1月(12)
- 2023年12月(3)
- 2023年11月(9)
- 2023年10月(7)
- 2023年9月(2)
- 2023年8月(7)
- 2023年7月(9)
- 2023年6月(6)
- 2023年5月(7)
- 2023年4月(11)
- 2023年3月(6)
- 2023年2月(11)
- 2023年1月(8)
- 2022年12月(2)
- 2022年11月(4)
- 2022年10月(10)
- 2022年9月(2)
- 2022年8月(13)
- 2022年7月(7)
- 2022年6月(11)
- 2022年5月(18)
- 2022年4月(29)
- 2022年3月(5)
- 2022年2月(6)
- 2022年1月(8)
- 2021年12月(5)
- 2021年11月(3)
- 2021年10月(4)
- 2021年9月(9)
- 2021年8月(14)
- 2021年7月(8)
- 2021年6月(5)
- 2021年5月(2)
- 2021年4月(3)
- 2021年3月(7)
- 2021年2月(2)
- 2021年1月(8)
- 2020年12月(7)
- 2020年11月(2)
- 2020年10月(6)
- 2020年9月(9)
- 2020年8月(10)
- 2020年7月(9)
- 2020年6月(18)
- 2020年5月(4)
- 2020年4月(25)
- 2020年3月(38)
- 2020年1月(21)
- 2019年12月(13)
- 2019年11月(29)
- 2019年10月(44)
- 2019年9月(17)
- 2019年8月(18)
- 2019年7月(25)
- 2019年6月(25)
- 2019年5月(17)
- 2019年4月(10)
- 2019年3月(36)
- 2019年2月(35)
- 2019年1月(28)
- 2018年12月(30)
- 2018年11月(22)
- 2018年10月(4)
- 2018年9月(7)
- 2018年8月(13)
- 2018年7月(13)
- 2018年6月(6)
- 2018年5月(5)
- 2018年4月(13)
- 2018年3月(5)
- 2018年2月(3)
- 2018年1月(8)
- 2017年12月(35)
- 2017年11月(17)
- 2017年10月(16)
- 2017年9月(17)
- 2017年8月(20)
- 2017年7月(34)
- 2017年6月(17)
- 2017年5月(15)
- 2017年4月(32)
- 2017年3月(8)
- 2017年2月(2)
- 2017年1月(5)
- 2016年12月(14)
- 2016年11月(26)
- 2016年10月(12)
- 2016年9月(25)
- 2016年8月(32)
- 2016年7月(14)
- 2016年6月(21)
- 2016年5月(17)
- 2016年4月(13)
- 2016年3月(8)
- 2016年2月(8)
- 2016年1月(18)
- 2015年12月(13)
- 2015年11月(15)
- 2015年10月(12)
- 2015年9月(18)
- 2015年8月(21)
- 2015年7月(35)
- 2015年6月(13)
- 2015年5月(9)
- 2015年4月(4)
- 2015年3月(5)
- 2015年2月(4)
- 2015年1月(13)
- 2014年12月(7)
- 2014年11月(5)
- 2014年10月(4)
- 2014年9月(8)
- 2014年8月(16)
- 2014年7月(26)
- 2014年6月(22)
- 2014年5月(28)
- 2014年4月(15)
友情链接
- Unity官网
- Unity圣典
- Unity在线手册
- Unity中文手册(圣典)
- Unity官方中文论坛
- Unity游戏蛮牛用户文档
- Unity下载存档
- Unity引擎源码下载
- Unity服务
- Unity Ads
- wiki.unity3d
- Visual Studio Code官网
- SenseAR开发文档
- MSDN
- C# 参考
- C# 编程指南
- .NET Framework类库
- .NET 文档
- .NET 开发
- WPF官方文档
- uLua
- xLua
- SharpZipLib
- Protobuf-net
- Protobuf.js
- OpenSSL
- OPEN CASCADE
- JSON
- MessagePack
- C在线工具
- 游戏蛮牛
- GreenVPN
- 聚合数据
- 热云
- 融云
- 腾讯云
- 腾讯开放平台
- 腾讯游戏服务
- 腾讯游戏开发者平台
- 腾讯课堂
- 微信开放平台
- 腾讯实时音视频
- 腾讯即时通信IM
- 微信公众平台技术文档
- 白鹭引擎官网
- 白鹭引擎开放平台
- 白鹭引擎开发文档
- FairyGUI编辑器
- PureMVC-TypeScript
- 讯飞开放平台
- 亲加通讯云
- Cygwin
- Mono开发者联盟
- Scut游戏服务器引擎
- KBEngine游戏服务器引擎
- Photon游戏服务器引擎
- 码云
- SharpSvn
- 腾讯bugly
- 4399原创平台
- 开源中国
- Firebase
- Firebase-Admob-Unity
- google-services-unity
- Firebase SDK for Unity
- Google-Firebase-SDK
- AppsFlyer SDK
- android-repository
- CQASO
- Facebook开发者平台
- gradle下载
- GradleBuildTool下载
- Android Developers
- Google中国开发者
- AndroidDevTools
- Android社区
- Android开发工具
- Google Play Games Services
- Google商店
- Google APIs for Android
- 金钱豹VPN
- TouchSense SDK
- MakeHuman
- Online RSA Key Converter
- Windows UWP应用
- Visual Studio For Unity
- Open CASCADE Technology
- 慕课网
- 阿里云服务器ECS
- 在线免费文字转语音系统
- AI Studio
- 网云穿
- 百度网盘开放平台
- 迅捷画图
- 菜鸟工具
- [CSDN] 程序员研修院
- 华为人脸识别
- 百度AR导航导览SDK
- 海康威视官网
- 海康开放平台
- 海康SDK下载
- git download
- Open CASCADE
- CascadeStudio
- OpenClaw中文社区
- three.js manual
- SVG官方文档
交流QQ群
-
Flash游戏设计: 86184192
Unity游戏设计: 171855449
游戏设计订阅号























