矩阵的行列式
作者:追风剑情 发布于:2018-8-1 21:40 分类:计算机图形学
在任意方阵中都存在一个标量,称作该方阵的行列式。
方阵M的行列式记作|M|或det M。非方阵矩阵的行列式是未定义的。nxn阶矩阵的行列式定义非常复杂。
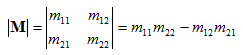
2×2阶矩阵行列式的定义:
主对角线各元素相乘减去反对角线各元素相乘
注意,在书写行列式时,两边用竖线将数字块围起来,省略方括号。
可以用类似下面的示意图来帮助记忆。
3×3阶矩阵行列式的定义:
可以用类似的示意图来帮助记忆。把矩阵M连写两遍,将主对角线上的元素和反对角线上的元素各自相乘,然后用各主对角线上元素积的和减去各反对角线上元素积的和。
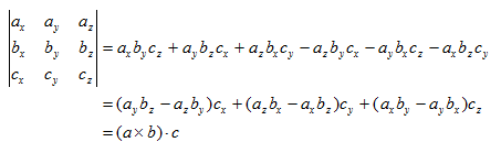
如果将3×3阶矩阵的行解释为3个向量,那么矩阵的行列式等于这些向量的所谓“三元组积”。
余子式
假设矩阵M有r行,c列。记法M{ij}表示从M中除去第i行和第j列后剩下的矩阵。显然,该矩阵有r-1行,c-1列。矩阵M{ij}称作M的余子式。
示例
代数余子式
对方阵M,给定行、列元素的代数余子式等于相应余子式的有符号行列式。
如上,用记法cij表示M的第i行,第j列元素的代数余子式。注意余子式是一个矩阵,而代数余子式是一个标量。代数余子式计算式中的项(-1)(i+j)有以棋盘形式使矩阵的代数余子式每隔一个为负的效果:
下面我们将用余子式和代数余子式来计算任意n维方阵的行列式。
n维方阵的行列式存在着多个相等的定义。我们可以用代数余子式来定义矩阵的行列式(这种定义是递归的,因为代数余子式本身的定义就用到了矩阵的行列式)。
首先,从矩阵中任意选择一行或一列,对该行或列中的每个元素,都乘以对应的代数余子式。这些乘积的和就是矩阵的行列式。例如,任意选择一行,如行i,行列式的计算过程如公式所示:
示例,4×4矩阵的行列式, (选择第1行)
综上,可导出4×4矩阵的行列式:
如果选择的是第1列: (略)
高阶行列式计算的复杂性是呈指数递增的。幸运的是,有一种称作"主元选择"的计算方法,它不影响行列式的值,但它能使特定行或列中除了一个元素(主元)外其他元素全为零。这样仅一个代数余子式需要计算。
行列式的一些重要性质:
- 矩阵积的行列式等于矩阵行列式的积:|AB|=|A||B|
- 这可以扩展到多个矩阵的情况:
-
- 矩阵转置的行列式等于原矩阵的行列式:|MT|=|M|T
- 如果矩阵的任意行或列全为零,那么它的行列式等于零
- 交换矩阵的任意两行或两列,行列式变负
- 任意行或列的非零积加到另一行或列上不会改变行列式的值
几何解释
矩阵的行列式有着非常有趣的几何解释。2D中,行列式等于以基向量为两边的平行四边形的有符号面积。有符号面积是指平行四边形相对原来的方位“翻转”,那么面积变负。
3D中,行列式等于以变换后的基向量为三边的平行六面体的有符号体积。3D中,如果变换使得平行六面体“由里向外”翻转,则行列式变负。
行列式和矩阵变换导致的尺寸改变相关。其中行列式的绝对值和面积(2D)、体积(3D)的改变相关。行列式的符号说明了变换矩阵是否包含镜象或投影。
矩阵的行列式还能对矩阵所代表的变换进行分类。如果矩阵行列式为零,那么该矩阵包含投影。如果矩阵行列式为负,那么该矩阵包含镜象。
标签: 计算机图形学
日历
最新文章
随机文章
热门文章
分类
存档
- 2026年4月(7)
- 2026年3月(15)
- 2026年2月(3)
- 2026年1月(6)
- 2025年12月(1)
- 2025年11月(1)
- 2025年9月(3)
- 2025年7月(4)
- 2025年6月(5)
- 2025年5月(1)
- 2025年4月(5)
- 2025年3月(4)
- 2025年2月(3)
- 2025年1月(1)
- 2024年12月(5)
- 2024年11月(5)
- 2024年10月(5)
- 2024年9月(3)
- 2024年8月(3)
- 2024年7月(11)
- 2024年6月(3)
- 2024年5月(9)
- 2024年4月(10)
- 2024年3月(11)
- 2024年2月(24)
- 2024年1月(12)
- 2023年12月(3)
- 2023年11月(9)
- 2023年10月(7)
- 2023年9月(2)
- 2023年8月(7)
- 2023年7月(9)
- 2023年6月(6)
- 2023年5月(7)
- 2023年4月(11)
- 2023年3月(6)
- 2023年2月(11)
- 2023年1月(8)
- 2022年12月(2)
- 2022年11月(4)
- 2022年10月(10)
- 2022年9月(2)
- 2022年8月(13)
- 2022年7月(7)
- 2022年6月(11)
- 2022年5月(18)
- 2022年4月(29)
- 2022年3月(5)
- 2022年2月(6)
- 2022年1月(8)
- 2021年12月(5)
- 2021年11月(3)
- 2021年10月(4)
- 2021年9月(9)
- 2021年8月(14)
- 2021年7月(8)
- 2021年6月(5)
- 2021年5月(2)
- 2021年4月(3)
- 2021年3月(7)
- 2021年2月(2)
- 2021年1月(8)
- 2020年12月(7)
- 2020年11月(2)
- 2020年10月(6)
- 2020年9月(9)
- 2020年8月(10)
- 2020年7月(9)
- 2020年6月(18)
- 2020年5月(4)
- 2020年4月(25)
- 2020年3月(38)
- 2020年1月(21)
- 2019年12月(13)
- 2019年11月(29)
- 2019年10月(44)
- 2019年9月(17)
- 2019年8月(18)
- 2019年7月(25)
- 2019年6月(25)
- 2019年5月(17)
- 2019年4月(10)
- 2019年3月(36)
- 2019年2月(35)
- 2019年1月(28)
- 2018年12月(30)
- 2018年11月(22)
- 2018年10月(4)
- 2018年9月(7)
- 2018年8月(13)
- 2018年7月(13)
- 2018年6月(6)
- 2018年5月(5)
- 2018年4月(13)
- 2018年3月(5)
- 2018年2月(3)
- 2018年1月(8)
- 2017年12月(35)
- 2017年11月(17)
- 2017年10月(16)
- 2017年9月(17)
- 2017年8月(20)
- 2017年7月(34)
- 2017年6月(17)
- 2017年5月(15)
- 2017年4月(32)
- 2017年3月(8)
- 2017年2月(2)
- 2017年1月(5)
- 2016年12月(14)
- 2016年11月(26)
- 2016年10月(12)
- 2016年9月(25)
- 2016年8月(32)
- 2016年7月(14)
- 2016年6月(21)
- 2016年5月(17)
- 2016年4月(13)
- 2016年3月(8)
- 2016年2月(8)
- 2016年1月(18)
- 2015年12月(13)
- 2015年11月(15)
- 2015年10月(12)
- 2015年9月(18)
- 2015年8月(21)
- 2015年7月(35)
- 2015年6月(13)
- 2015年5月(9)
- 2015年4月(4)
- 2015年3月(5)
- 2015年2月(4)
- 2015年1月(13)
- 2014年12月(7)
- 2014年11月(5)
- 2014年10月(4)
- 2014年9月(8)
- 2014年8月(16)
- 2014年7月(26)
- 2014年6月(22)
- 2014年5月(28)
- 2014年4月(15)
友情链接
- Unity官网
- Unity圣典
- Unity在线手册
- Unity中文手册(圣典)
- Unity官方中文论坛
- Unity游戏蛮牛用户文档
- Unity下载存档
- Unity引擎源码下载
- Unity服务
- Unity Ads
- wiki.unity3d
- Visual Studio Code官网
- SenseAR开发文档
- MSDN
- C# 参考
- C# 编程指南
- .NET Framework类库
- .NET 文档
- .NET 开发
- WPF官方文档
- uLua
- xLua
- SharpZipLib
- Protobuf-net
- Protobuf.js
- OpenSSL
- OPEN CASCADE
- JSON
- MessagePack
- C在线工具
- 游戏蛮牛
- GreenVPN
- 聚合数据
- 热云
- 融云
- 腾讯云
- 腾讯开放平台
- 腾讯游戏服务
- 腾讯游戏开发者平台
- 腾讯课堂
- 微信开放平台
- 腾讯实时音视频
- 腾讯即时通信IM
- 微信公众平台技术文档
- 白鹭引擎官网
- 白鹭引擎开放平台
- 白鹭引擎开发文档
- FairyGUI编辑器
- PureMVC-TypeScript
- 讯飞开放平台
- 亲加通讯云
- Cygwin
- Mono开发者联盟
- Scut游戏服务器引擎
- KBEngine游戏服务器引擎
- Photon游戏服务器引擎
- 码云
- SharpSvn
- 腾讯bugly
- 4399原创平台
- 开源中国
- Firebase
- Firebase-Admob-Unity
- google-services-unity
- Firebase SDK for Unity
- Google-Firebase-SDK
- AppsFlyer SDK
- android-repository
- CQASO
- Facebook开发者平台
- gradle下载
- GradleBuildTool下载
- Android Developers
- Google中国开发者
- AndroidDevTools
- Android社区
- Android开发工具
- Google Play Games Services
- Google商店
- Google APIs for Android
- 金钱豹VPN
- TouchSense SDK
- MakeHuman
- Online RSA Key Converter
- Windows UWP应用
- Visual Studio For Unity
- Open CASCADE Technology
- 慕课网
- 阿里云服务器ECS
- 在线免费文字转语音系统
- AI Studio
- 网云穿
- 百度网盘开放平台
- 迅捷画图
- 菜鸟工具
- [CSDN] 程序员研修院
- 华为人脸识别
- 百度AR导航导览SDK
- 海康威视官网
- 海康开放平台
- 海康SDK下载
- git download
- Open CASCADE
- CascadeStudio
- OpenClaw中文社区
- three.js manual
- SVG官方文档
交流QQ群
-
Flash游戏设计: 86184192
Unity游戏设计: 171855449
游戏设计订阅号

















