矩阵——几何解释
作者:追风剑情 发布于:2018-6-19 22:28 分类:计算机图形学
一般来说,方阵能描述任意线性变换。线性变换保留了直线和平行线,而原点没有移动。线性变换保留直线的同时,其他的几何性质如长度、角度、面积和体积可能就被变换改变了。从非技术意义上说,线性变换可能“拉伸”坐标系,但不会“弯曲”或“卷折”坐标系。下面是一组非常有用的变换:
- 旋转
- 缩放
- 投影
- 镜像
- 仿射
矩阵是怎样变换向量的
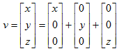
向量在几何上能被解释成一系列与轴平行的位移。如,向量[1, -3, -4]能被解释成位移[1, 0, 0],随后位移[0, -3, 0],最后位移[0, 0, 4]。依据三角形法则将这个位移序列解释成向量的加法:
一般来说,任意向量v都能写为“扩展”形式:
注意右边的单位向量就是x,y,z轴。向量的每个坐标都表明了平行于相应坐标轴的有向位移。
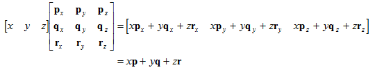
让我们将上面的向量和重新写一遍,这次,分别将p,g和r定义为指向+x,+y和+z方向的单位向量:
将向量表示为基向量的线性组和
现在,向量v就被表示成向量p,q,r的线性变换了。向量p,q,r称作基向量。这里基向量是笛卡尔坐标轴,但事实上,一个坐标系能用任意3个基向量定义,当然这三个向量要线性无关(也就是不在同一平面上)。以p,q,r为行构建一个3×3矩阵M,可得到公式:
将矩阵解释为基向量集合
用一个向量乘以该矩阵,得到:
这和前面计算转换后的v的等式相同。我们发现关键点是:
如果把矩阵的行解释为坐标系的基向量,那么乘以该矩阵就相当于执行了一次坐标转换。若有aM=b,我们就可以说,M将a转换到b。
从这一点看,术语“转换”和“乘法”是等价的。
坦率地说,矩阵并不神秘,它只是用一种紧凑的方式来表达坐标转换所需的数学运算。进一步,用线性代数操作矩阵,是一种进行简单转换或导出更复杂转换的简便方法。
矩阵的形式
先看一下基向量[1, 0, 0], [0, 1, 0], [0, 0, 1]乘以任意矩阵M时的情况:
正如您所见,用基向量[1, 0, 0]乘以M时,结果是M的第1行。其他两行也有同样的结果。这是一个关键的发现:
矩阵的每一行都解释为转换后的基向量。
这个强有力的概念有两条重要性质:
- 有了一种简单的方法来形象化解释矩阵所代表的变换。
- 有了反向建立矩阵的可能——给出一个期望的变换(如旋转、缩放等),能够构造一个矩阵代表此变换。我们所要做的一切就是计算基向量的变换,然后将变换后的基向量填入矩阵。这个技巧得到方泛应用。
看个2D实例:
从矩阵中抽出基向量p和q
x基向量变换至上面的p向量,y基向量变换至q向量。
3D中同理。
总结:
- 方阵的行能被解释为坐标系的基向量。
- 为了将向量从原坐标系变换到新坐标系,用它乘以一个矩阵。
- 从原坐标系到这些基向量定义的新坐标系的变换是一种线性变换。线性变换保持直线和平行线,但角度、长度、面积或体积可能会被改变。
- 零向量乘以任何矩阵仍然得到零向量。因此,方阵所代表的线性变换的原点和原坐标系的原点一致。变换不包含原点。
- 可以通过想象变换后的坐标系的基向量来想象矩阵。这些基向量在2D中构成“L”型,在3D中构成“三角架”型。用一个盒子及辅助物更有助于理解。
标签: 计算机图形学
日历
最新文章
随机文章
热门文章
分类
存档
- 2026年4月(7)
- 2026年3月(15)
- 2026年2月(3)
- 2026年1月(6)
- 2025年12月(1)
- 2025年11月(1)
- 2025年9月(3)
- 2025年7月(4)
- 2025年6月(5)
- 2025年5月(1)
- 2025年4月(5)
- 2025年3月(4)
- 2025年2月(3)
- 2025年1月(1)
- 2024年12月(5)
- 2024年11月(5)
- 2024年10月(5)
- 2024年9月(3)
- 2024年8月(3)
- 2024年7月(11)
- 2024年6月(3)
- 2024年5月(9)
- 2024年4月(10)
- 2024年3月(11)
- 2024年2月(24)
- 2024年1月(12)
- 2023年12月(3)
- 2023年11月(9)
- 2023年10月(7)
- 2023年9月(2)
- 2023年8月(7)
- 2023年7月(9)
- 2023年6月(6)
- 2023年5月(7)
- 2023年4月(11)
- 2023年3月(6)
- 2023年2月(11)
- 2023年1月(8)
- 2022年12月(2)
- 2022年11月(4)
- 2022年10月(10)
- 2022年9月(2)
- 2022年8月(13)
- 2022年7月(7)
- 2022年6月(11)
- 2022年5月(18)
- 2022年4月(29)
- 2022年3月(5)
- 2022年2月(6)
- 2022年1月(8)
- 2021年12月(5)
- 2021年11月(3)
- 2021年10月(4)
- 2021年9月(9)
- 2021年8月(14)
- 2021年7月(8)
- 2021年6月(5)
- 2021年5月(2)
- 2021年4月(3)
- 2021年3月(7)
- 2021年2月(2)
- 2021年1月(8)
- 2020年12月(7)
- 2020年11月(2)
- 2020年10月(6)
- 2020年9月(9)
- 2020年8月(10)
- 2020年7月(9)
- 2020年6月(18)
- 2020年5月(4)
- 2020年4月(25)
- 2020年3月(38)
- 2020年1月(21)
- 2019年12月(13)
- 2019年11月(29)
- 2019年10月(44)
- 2019年9月(17)
- 2019年8月(18)
- 2019年7月(25)
- 2019年6月(25)
- 2019年5月(17)
- 2019年4月(10)
- 2019年3月(36)
- 2019年2月(35)
- 2019年1月(28)
- 2018年12月(30)
- 2018年11月(22)
- 2018年10月(4)
- 2018年9月(7)
- 2018年8月(13)
- 2018年7月(13)
- 2018年6月(6)
- 2018年5月(5)
- 2018年4月(13)
- 2018年3月(5)
- 2018年2月(3)
- 2018年1月(8)
- 2017年12月(35)
- 2017年11月(17)
- 2017年10月(16)
- 2017年9月(17)
- 2017年8月(20)
- 2017年7月(34)
- 2017年6月(17)
- 2017年5月(15)
- 2017年4月(32)
- 2017年3月(8)
- 2017年2月(2)
- 2017年1月(5)
- 2016年12月(14)
- 2016年11月(26)
- 2016年10月(12)
- 2016年9月(25)
- 2016年8月(32)
- 2016年7月(14)
- 2016年6月(21)
- 2016年5月(17)
- 2016年4月(13)
- 2016年3月(8)
- 2016年2月(8)
- 2016年1月(18)
- 2015年12月(13)
- 2015年11月(15)
- 2015年10月(12)
- 2015年9月(18)
- 2015年8月(21)
- 2015年7月(35)
- 2015年6月(13)
- 2015年5月(9)
- 2015年4月(4)
- 2015年3月(5)
- 2015年2月(4)
- 2015年1月(13)
- 2014年12月(7)
- 2014年11月(5)
- 2014年10月(4)
- 2014年9月(8)
- 2014年8月(16)
- 2014年7月(26)
- 2014年6月(22)
- 2014年5月(28)
- 2014年4月(15)
友情链接
- Unity官网
- Unity圣典
- Unity在线手册
- Unity中文手册(圣典)
- Unity官方中文论坛
- Unity游戏蛮牛用户文档
- Unity下载存档
- Unity引擎源码下载
- Unity服务
- Unity Ads
- wiki.unity3d
- Visual Studio Code官网
- SenseAR开发文档
- MSDN
- C# 参考
- C# 编程指南
- .NET Framework类库
- .NET 文档
- .NET 开发
- WPF官方文档
- uLua
- xLua
- SharpZipLib
- Protobuf-net
- Protobuf.js
- OpenSSL
- OPEN CASCADE
- JSON
- MessagePack
- C在线工具
- 游戏蛮牛
- GreenVPN
- 聚合数据
- 热云
- 融云
- 腾讯云
- 腾讯开放平台
- 腾讯游戏服务
- 腾讯游戏开发者平台
- 腾讯课堂
- 微信开放平台
- 腾讯实时音视频
- 腾讯即时通信IM
- 微信公众平台技术文档
- 白鹭引擎官网
- 白鹭引擎开放平台
- 白鹭引擎开发文档
- FairyGUI编辑器
- PureMVC-TypeScript
- 讯飞开放平台
- 亲加通讯云
- Cygwin
- Mono开发者联盟
- Scut游戏服务器引擎
- KBEngine游戏服务器引擎
- Photon游戏服务器引擎
- 码云
- SharpSvn
- 腾讯bugly
- 4399原创平台
- 开源中国
- Firebase
- Firebase-Admob-Unity
- google-services-unity
- Firebase SDK for Unity
- Google-Firebase-SDK
- AppsFlyer SDK
- android-repository
- CQASO
- Facebook开发者平台
- gradle下载
- GradleBuildTool下载
- Android Developers
- Google中国开发者
- AndroidDevTools
- Android社区
- Android开发工具
- Google Play Games Services
- Google商店
- Google APIs for Android
- 金钱豹VPN
- TouchSense SDK
- MakeHuman
- Online RSA Key Converter
- Windows UWP应用
- Visual Studio For Unity
- Open CASCADE Technology
- 慕课网
- 阿里云服务器ECS
- 在线免费文字转语音系统
- AI Studio
- 网云穿
- 百度网盘开放平台
- 迅捷画图
- 菜鸟工具
- [CSDN] 程序员研修院
- 华为人脸识别
- 百度AR导航导览SDK
- 海康威视官网
- 海康开放平台
- 海康SDK下载
- git download
- Open CASCADE
- CascadeStudio
- OpenClaw中文社区
- three.js manual
- SVG官方文档
交流QQ群
-
Flash游戏设计: 86184192
Unity游戏设计: 171855449
游戏设计订阅号














