法线变换
作者:追风剑情 发布于:2016-12-23 22:53 分类:Shader
法线(normal),也被称为法矢量(normal vector)。在上面我们已经看到如何使用变换矩阵来变换一个顶点或一个方向矢量,但法线是需要我们特殊处理的一种方向矢量。在游戏中,模型的一个顶点往往会携带额外的信息,而顶点法线就是其中一种信息。当我们变换一个模型的时候,不仅需要变换它的顶点,还需要变换顶点法线,以便在后续处理(如片元着色器)中计算光照等。
一般来说,点和绝大部分方向矢量都可以使用同一个4x4或3x3的变换矩阵MA-B把其从坐标空间A变换到坐标空间B中。但在变换法线的时候,如果使用同一个变换矩阵,可能就无法确保维持法线的垂直性。下面就来了解一下为什么会出现这样的问题。
我们先来了解一下另一种方向矢量——切线(tangent),也被称为切矢量(tangent vector)。与法线类似,切线往往也是模型顶点携带的一种信息。它通常与纹理空间对齐,而且与法线方向垂直。
由于切线是由两个顶点之间的差值计算得到的,因此我们可以直接使用用于变换顶点的变换矩阵来变换切线。假设,我们使用3x3的变换矩阵MA-B来变换顶点(注意,这里涉及的变换矩阵是3x3的矩阵,不考虑平移变换。这是因为切线和法线都是方向矢量,不会受平移的影响),可以由下面的式子直接得到变换后的切线:
TB=MA->BTA
其中TA和TB分别表示在坐标空间A下和坐标空间B下的切线方向。但如果直接使用MA-B来变换法线,得到的新的法线方向可能就不会与表面垂直了。
那么,应该使用哪个矩阵来变换法线呢?我们可以由数学约束条件来推出这个矩阵。我们知道同一个顶点的切线TA和法线NA必须满足垂直条件,即TA●NA=0。给定变换矩阵MA-B,我们已经知道TB=MA->BTA。我们现在想要找到一个矩阵G来变换法线NA,使得变换后的法线仍然与切线垂直。即
TB●NB=(MA->BTA)●(GNA)=0
对上式进行一些推导后可得
由于TA●NA=0,因此如果
,那么上式即可成立。也就是说,如果
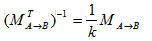
,即使用原变换矩阵的逆转置矩阵来变换法线就可以得到正确的结果。
值得注意的是,如果变换矩阵MA->B是正交矩阵,那么
,因此
,也就是说我们可以使用用于变换顶点的变换矩阵来直接变换法线。如果变换只包括旋转变换,那么这个变换矩阵就是正交矩阵。而如果变换只包含旋转和统一缩放,而不包含非统一缩放,我们利用统一缩放系数k来得到变换矩阵MA->B的的逆转置矩阵
。这样就可以避免计算逆矩阵的过程。如果变换中包含了非统一变换,那么我们就必须要求解逆矩阵来得到变换法线的矩阵。
标签: Shader
日历
最新文章
随机文章
热门文章
分类
存档
- 2026年4月(7)
- 2026年3月(15)
- 2026年2月(3)
- 2026年1月(6)
- 2025年12月(1)
- 2025年11月(1)
- 2025年9月(3)
- 2025年7月(4)
- 2025年6月(5)
- 2025年5月(1)
- 2025年4月(5)
- 2025年3月(4)
- 2025年2月(3)
- 2025年1月(1)
- 2024年12月(5)
- 2024年11月(5)
- 2024年10月(5)
- 2024年9月(3)
- 2024年8月(3)
- 2024年7月(11)
- 2024年6月(3)
- 2024年5月(9)
- 2024年4月(10)
- 2024年3月(11)
- 2024年2月(24)
- 2024年1月(12)
- 2023年12月(3)
- 2023年11月(9)
- 2023年10月(7)
- 2023年9月(2)
- 2023年8月(7)
- 2023年7月(9)
- 2023年6月(6)
- 2023年5月(7)
- 2023年4月(11)
- 2023年3月(6)
- 2023年2月(11)
- 2023年1月(8)
- 2022年12月(2)
- 2022年11月(4)
- 2022年10月(10)
- 2022年9月(2)
- 2022年8月(13)
- 2022年7月(7)
- 2022年6月(11)
- 2022年5月(18)
- 2022年4月(29)
- 2022年3月(5)
- 2022年2月(6)
- 2022年1月(8)
- 2021年12月(5)
- 2021年11月(3)
- 2021年10月(4)
- 2021年9月(9)
- 2021年8月(14)
- 2021年7月(8)
- 2021年6月(5)
- 2021年5月(2)
- 2021年4月(3)
- 2021年3月(7)
- 2021年2月(2)
- 2021年1月(8)
- 2020年12月(7)
- 2020年11月(2)
- 2020年10月(6)
- 2020年9月(9)
- 2020年8月(10)
- 2020年7月(9)
- 2020年6月(18)
- 2020年5月(4)
- 2020年4月(25)
- 2020年3月(38)
- 2020年1月(21)
- 2019年12月(13)
- 2019年11月(29)
- 2019年10月(44)
- 2019年9月(17)
- 2019年8月(18)
- 2019年7月(25)
- 2019年6月(25)
- 2019年5月(17)
- 2019年4月(10)
- 2019年3月(36)
- 2019年2月(35)
- 2019年1月(28)
- 2018年12月(30)
- 2018年11月(22)
- 2018年10月(4)
- 2018年9月(7)
- 2018年8月(13)
- 2018年7月(13)
- 2018年6月(6)
- 2018年5月(5)
- 2018年4月(13)
- 2018年3月(5)
- 2018年2月(3)
- 2018年1月(8)
- 2017年12月(35)
- 2017年11月(17)
- 2017年10月(16)
- 2017年9月(17)
- 2017年8月(20)
- 2017年7月(34)
- 2017年6月(17)
- 2017年5月(15)
- 2017年4月(32)
- 2017年3月(8)
- 2017年2月(2)
- 2017年1月(5)
- 2016年12月(14)
- 2016年11月(26)
- 2016年10月(12)
- 2016年9月(25)
- 2016年8月(32)
- 2016年7月(14)
- 2016年6月(21)
- 2016年5月(17)
- 2016年4月(13)
- 2016年3月(8)
- 2016年2月(8)
- 2016年1月(18)
- 2015年12月(13)
- 2015年11月(15)
- 2015年10月(12)
- 2015年9月(18)
- 2015年8月(21)
- 2015年7月(35)
- 2015年6月(13)
- 2015年5月(9)
- 2015年4月(4)
- 2015年3月(5)
- 2015年2月(4)
- 2015年1月(13)
- 2014年12月(7)
- 2014年11月(5)
- 2014年10月(4)
- 2014年9月(8)
- 2014年8月(16)
- 2014年7月(26)
- 2014年6月(22)
- 2014年5月(28)
- 2014年4月(15)
友情链接
- Unity官网
- Unity圣典
- Unity在线手册
- Unity中文手册(圣典)
- Unity官方中文论坛
- Unity游戏蛮牛用户文档
- Unity下载存档
- Unity引擎源码下载
- Unity服务
- Unity Ads
- wiki.unity3d
- Visual Studio Code官网
- SenseAR开发文档
- MSDN
- C# 参考
- C# 编程指南
- .NET Framework类库
- .NET 文档
- .NET 开发
- WPF官方文档
- uLua
- xLua
- SharpZipLib
- Protobuf-net
- Protobuf.js
- OpenSSL
- OPEN CASCADE
- JSON
- MessagePack
- C在线工具
- 游戏蛮牛
- GreenVPN
- 聚合数据
- 热云
- 融云
- 腾讯云
- 腾讯开放平台
- 腾讯游戏服务
- 腾讯游戏开发者平台
- 腾讯课堂
- 微信开放平台
- 腾讯实时音视频
- 腾讯即时通信IM
- 微信公众平台技术文档
- 白鹭引擎官网
- 白鹭引擎开放平台
- 白鹭引擎开发文档
- FairyGUI编辑器
- PureMVC-TypeScript
- 讯飞开放平台
- 亲加通讯云
- Cygwin
- Mono开发者联盟
- Scut游戏服务器引擎
- KBEngine游戏服务器引擎
- Photon游戏服务器引擎
- 码云
- SharpSvn
- 腾讯bugly
- 4399原创平台
- 开源中国
- Firebase
- Firebase-Admob-Unity
- google-services-unity
- Firebase SDK for Unity
- Google-Firebase-SDK
- AppsFlyer SDK
- android-repository
- CQASO
- Facebook开发者平台
- gradle下载
- GradleBuildTool下载
- Android Developers
- Google中国开发者
- AndroidDevTools
- Android社区
- Android开发工具
- Google Play Games Services
- Google商店
- Google APIs for Android
- 金钱豹VPN
- TouchSense SDK
- MakeHuman
- Online RSA Key Converter
- Windows UWP应用
- Visual Studio For Unity
- Open CASCADE Technology
- 慕课网
- 阿里云服务器ECS
- 在线免费文字转语音系统
- AI Studio
- 网云穿
- 百度网盘开放平台
- 迅捷画图
- 菜鸟工具
- [CSDN] 程序员研修院
- 华为人脸识别
- 百度AR导航导览SDK
- 海康威视官网
- 海康开放平台
- 海康SDK下载
- git download
- Open CASCADE
- CascadeStudio
- OpenClaw中文社区
- three.js manual
- SVG官方文档
交流QQ群
-
Flash游戏设计: 86184192
Unity游戏设计: 171855449
游戏设计订阅号






