四元数(Quaternion)
作者:追风剑情 发布于:2021-7-23 16:13 分类:Algorithms
一、四元数记法
一个四元数包含一个标量分量和一个3D向量分量。经常记标量分量为w,记向量分量为单一的v或分开的x, y, z。两种记法分别如下:
[w, v]
[w, (x, y, z)]
在某些情况下,用v这样的短记法更方便,但另一些情况下,“扩展”的记法会更清楚。
也可以将四元数竖着写,有时这会使等式的格式一目了然。“行”或“列”四元数没有明显的区别。
二、四元数与复数
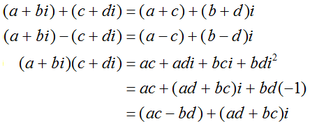
复数对(a, b)定义了数a+bi,i是所谓的虚数,满足i2=-1,a称作实部,b称作虚部。任意实数k都能表示为复数(k, 0)=k+0i。
复数能够相加、相减、相乘:
三、共轭复数
通过使虚部变负,还能够计算复数的共轭。记法如下:
p=(a+bi)
p*=(a-bi)
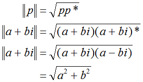
四、求复数的模
还能够计算复数的模。这个运算的记法和解释与实数的绝对值类似。实际上,如果将实数表示成复数,它们将产生相同的结果。公式如下:
复数集存在于一个2D平面上,可以认为这个平面有两个轴:实轴和虚轴。这样,就能将复数(x, y)解释为2D向量。用这种方法解释复数时,它们能用来表达平面中的旋转(虽然这走了一个弯路)。看看复数p绕原点旋转角度θ的情况。
在平面中旋转复数
为了进行这个旋转,引入第二个复数q=(cosθ, sinθ)。现在,旋转后的复数p'能用复数乘法计算出来:
p = x + yi
q = cosθ + isinθ
p' = pq
=(x+yi)(cosθ+isinθ)
=(xcosθ-ysinθ)+(xsinθ+ycosθ)i
当然,从上式来看,引入复数q和用2×2旋转矩阵达到的效果是一样的,但复数提供了另一种有趣的记法。后面,我们将以同样的方法在3D中使用四元数。
2 × 2 顺时针旋转矩阵 $$ \begin{flalign} & \left[ \begin{array}{l} \cos\theta & -\sin\theta \\ \sin\theta & \cos\theta \\ \end{array} \right] \left[ \begin{array}{l} x \\ y \\ \end{array} \right] =(x\cos\theta - y\sin\theta) + (x\sin\theta + y\cos\theta) &\\ \end{flalign} $$
爱尔兰数学家 William Hamilton 多年来一直致力于寻找一种方法将复数从2D扩展到3D。他认为,这种新的复数应该有一个实部和两个虚部。然而,Hamilton 一直没有办法创造出一种有两个虚部的有意义的复数。但故事并没有结束,1843年,在赴皇家爱尔兰学院演讲路上,他突然意识到应该有三个虚部而不是两个。他把定义这种新复数类型性质的等式刻在 Broome 桥上(这些等式如下所示)。这样,四元数就诞生了。
四元数扩展了复数系统,它使用三个虚部 i,j,k。它们之间的关系如下: $$ \begin{flalign} &i^2=j^2=k^2=-1 \quad (根据定义)& \\ &ij=k,ji=-k \quad\quad (叉乘)& \\ &jk=i,kj=-i \quad\quad (叉乘)& \\ &ki=j,ik=-j \quad\quad (叉乘)& \end{flalign} $$
一个四元数 [w, (x, y, z)] 定义了复数 w+xi+yj+zk。我们马上将会看到,很多标准复数的性质都能应用到四元数上。更重要的是,和复数能用来旋转2D中的向量类似,四元数也能用来旋转3D中的向量。
五、四元数和轴-角对
欧拉证明了一个旋转序列等价于单个旋转。因此,3D中的任意角位移都能表示为绕单一轴的单一旋转(这里的轴是一般意义上的轴,不要和笛卡尔坐标轴混淆。显然,旋转轴的方向是任意的)。当一个方位用这种形式来描述时称作轴-角描述法(实际上,能将轴-角形式作为描述方位的第四种表达方式。但是,轴-角对很少用到,经常被欧拉角或四元数替代)。
设 n 为旋转轴。对于旋转轴来说长度并不重要,将 n 定义为单位长度会比较方便。根据左手或右手法则,n 的方向定义了哪边将被认为是旋转“正”方向。设 θ 为绕轴旋转的量。因此,轴-角对 (n, θ) 定义了一个角位移:绕 n 指定的轴旋转 θ 角。
四元数能被解释为角位移的轴-角对方式。然而,n 和 θ 不是直接存储在四元数的四个数中——那样太简单了!它们的确在四元素里,但不是那么直接。下列公式给出了四元数中的数和 n,θ 的关系,两种四元数记法都被使用了。
$
\begin{align}
\mathbf{q}&=[cos(θ/2) \quad sin(θ/2)\mathbf{n}] \\
&=[cos(θ/2) \quad sin(θ/2)\mathbf{n}_x \quad sin(θ/2)\mathbf{n}_y \quad sin(θ/2)\mathbf{n}_z]
\end{align}
$
六、负四元数
四元数能求负。做法很直接:将每个分量都变负。
$
\begin{flalign}
\mathbf{-q}&=-[w \quad (x \quad y \quad z)]=[-w \quad (-x \quad -y \quad -z)] \\
&=-[w \quad \mathbf{v}]=[-w \quad -\mathbf{v}]
\end{flalign}
$
从上面的公式可以看出,当q取负值时,旋转角和旋转轴都反向了,所以q和-q代表的实际角位移是相同的。
cos(θ/2)与sin(θ/2),当θ增加$360^\circ$的奇数倍时,分量的符号将取反。当θ增加$360^\circ$的偶数倍时,符号不变。
q和-q代表的实际角位移是相同的。如果我们将θ加上$360^\circ$的倍数,不会改变q代表的角位移,但它使q的四个分量都变负了。因此,3D中的任意角位移都有两种不同的四元数表示方法,它们互相为负。
七、单位四元数
几何上,存在两个“单位”四元数,它们代表没有角位移:[1, 0]和[-1, 0](注意粗体0,它们代表零向量)。当θ是$360^\circ$的偶数倍时,有第一种形式,cos(θ/2)=1;θ是$360^\circ$的奇数倍时,有第二种形式,cos(θ/2)=-1。在两种情况下,都有sin(θ/2)=0,所以n的值无关紧要。它的意义在于:
当旋转角θ是$360^\circ$的整数倍时,方位并没有改变,并且旋转轴也是无关紧要的。
数学上,实际只有一个单位四元数:[1, 0]。用任意四元数q乘以单位四元数[1, 0],结果仍是q。任意四元数q乘以另一个“几何单位”四元数[-1, 0]时得到-q。几何上,因为q和-q代表的角位移相同,可认为结果是相同的。但在数学上,q和-q不相等,所以[-1, 0]并不是“真正”的单位四元数。
八、四元数的模
和复数一样,四元数也有模。记法和公式都与向量的类似,如公式所示。 \begin{flalign} |\mathbf{q}|&=|\left[w\quad (x\quad y\quad z)\right]|=\sqrt{w^2+x^2+y^2+z^2} &\\ &=|[w\quad \mathbf{v}]|=\sqrt{w^2+|\mathbf{v}|^2} &\\ \end{flalign}
让我们看看它的几何意义。代入$\theta$和n,可得到: \begin{flalign} |\mathbf{q}|&=|[w\quad \mathbf{v}]| &\\ &=\sqrt{w^2+ |\mathbf{v}|^2} &\\ &=\sqrt{cos^2(θ/2) + (sin(θ/2)|\mathbf{n}|)^2} \end{flalign} n为单位向量,所以: \begin{flalign} |\mathbf{q}|&=\sqrt{cos^2(θ/2) + sin^2(θ/2)|\mathbf{n}|^2} &\\ &=\sqrt{cos^2(θ/2) + sin^2(θ/2)(1)} &\\ &=\sqrt{cos^2(θ/2) + sin^2(θ/2)} &\\ \end{flalign} 应用三角公式$sin^2x+con^2x=1$,得到: \begin{flalign} |\mathbf{q}|&=\sqrt{cos^2(θ/2) + sin^2(θ/2)}=\sqrt{1}=1 &\\ \end{flalign} 如果为了用四元数来表示方位,我们仅使用符合这个规则的单位四元数。
九、四元数的共轭
四元数的共轭记作q*,可通过让四元数的向量部分变负来获得。 \begin{flalign} \mathbf{q}^*&=\left[\begin{array}{l} w & \mathbf{v} \end{array}\right]^*=\left[\begin{array}{l} w & -\mathbf{v} \end{array}\right] &\\ &=\left[\begin{array}{l} w & (x & y & z) \end{array}\right]^*=\left[\begin{array}{l} w & (-x & -y & -z) \end{array}\right] &\\ \end{flalign}
共轭非常有趣,因为q和q*代表相反的角位移。很容易验证这种说法,使v变负,也就是使旋转轴反向,它颠倒了我们所认为的旋转正方向。因此,q绕轴旋转θ角,而q*沿相反的方向旋转相同的角度。
针对我们的目的而言,四元数的共轭可以有另一种定义:w变负,v不变。这使旋转角度变负,而不是通过翻转旋转轴来颠倒正方向。这和公式给出的定义等价(至少对于我们的目的是这样的),并提供了一种稍微快一点的实现和更为直观的几何解释。但对于复数,术语“共轭”有其特殊含义,因此我们保持原定义不变。
十、四元数的逆
四元数的逆记作q-1,定义为四元数的共轭除以它的模。
\begin{flalign}
&\mathbf{q}^{-1}=\frac{\mathbf{q}^*}{\mathbf{|q|}} &\\
\end{flalign}
上面的公式为四元数逆的正式定义,但我们只使用单位四元数,所以四元数的逆和共轭是相等的。
四元数的逆和实数的倒数有着有趣的对应关系。对于实数a,它的逆a-1为1/a,从另一方面说,a(a-1)=a-1a=1。四元数的逆也有同样的性质。一个四元数q乘以它的逆q-1,即可得到单位四元数[1, 0]。
十一、四元数乘法(叉乘)
四元数根据复数解释来相乘,如下: \begin{flalign} &(w_1+x_1i+y_1j+z_1k)(w_2+x_2i+y_2j+z_2k) &\\ &=w_1w_2+w_1x_2i+w_1y_2j+w_1z_2k &\\ &\quad+x_1w_2i+x_1x_2i^2+x_1y_2ij+x_1z_2ik &\\ &\quad+y_1w_2j+y_1x_2ji+y_1y_2j^2+y_1z_2jk &\\ &\quad+z_1w_2k+z_1x_2ki+z_1y_2kj+z_1z_2k^2 &\\ &=w_1w_2+w_1x_2i+w_1y_2j+w_1z_2k &\\ &\quad+x_1w_2i+x_1x_2(-1)+x_1y_2ij+x_1z_2ik &\\ &\quad+y_1w_2j+y_1x_2ji+y_1y_2(-1)+y_1z_2jk &\\ &\quad+z_1w_2k+z_1x_2ki+z_1y_2kj+z_1z_2(-1) &\\ &=w_1w_2-x_1x_2-y_1y_2-z_1z_2 &\\ &\quad+(w_1x_2+x_1w_2+y_1z_2-z_1y_2)i &\\ &\quad+(w_1y_2+y_1w_2+z_1x_2-x_1z_2)j &\\ &\quad+(w_1z_2+z_1w_2+x_1y_2-y_1x_2)k &\\ &=\left[\begin{array}{l} w_1w_2-\mathbf{v}_1\cdot\mathbf{v}_2 & w_1\mathbf{v}_2+w_2\mathbf{v}_1+\mathbf{v}_1×\mathbf{v}_2 \end{array}\right] &\\ \end{flalign} 这导出了四元数乘法的标准定义,下面以两种四元数记法给出。 \begin{flalign} &\left[\begin{array}{l}w_1 & (x_1 & y_1 & z_1)\end{array}\right]\left[\begin{array}{l}w_2 & (x_2 & y_2 & z_2)\end{array}\right] &\\ &=\left[ \begin{array}{l} \quad w_1w_2-x_1x_2-y_1y_2-z_1z_2 \\ \left( \begin{array}{l} w_1x_2+x_1w_2+z_1y_2-y_1z_2 \\ w_1y_2+y_1w_2+x_1z_2-z_1x_2 \\ w_1z_2+z_1w_2+y_1x_2-x_1y_2 \end{array} \right) \end{array} \right] \end{flalign} \begin{flalign} &\left[ \begin{array}{l} w_1 & \mathbf{v}_1 \end{array} \right] \left[ \begin{array}{l} w_2 & \mathbf{v}_2 \end{array} \right] &\\ &=\left[\begin{array}{l} w_1w_2-\mathbf{v}_1\cdot\mathbf{v}_2 & w_1\mathbf{v}_2+w_2\mathbf{v}_1+\mathbf{v}_2×\mathbf{v}_1 \end{array}\right] &\\ \end{flalign}
不用为四元数叉乘使用乘号,“行”或“列”四元数也没有什么区别。
四元数叉乘满足结合律,但不满足交换律。 \begin{flalign} &(\mathbf{ab})\mathbf{c}=\mathbf{a}(\mathbf{bc}) &\\ &\mathbf{ab}≠\mathbf{ba} &\\ \end{flalign}
现在看看两个四元数叉乘的模: \begin{flalign} &|\mathbf{q}_1\mathbf{q}_2|=|\left[\begin{array}{l}w_1 & (x_1 & y_1 & z_1) \end{array}\right]\left[\begin{array}{l} w_2 & (x_2 & y_2 & z_2)\end{array}\right]| &\\ &=\left|\left[\begin{array}{l} \quad w_1w_2-x_1x_2-y_1y_2-z_1z_2 \\ \left( \begin{array}{l} w_1x_2+x_1w_2+z_1y_2-y_1z_2 \\ w_1y_2+y_1w_2+x_1z_2-z_1x_2 \\ w_1z_2+z_1w_2+y_1x_2-x_1y_2 \end{array} \right) \end{array}\right]\right| &\\ &=\sqrt{ \begin{array}{l} (w_1w_2-x_1x_2-y_1y_2-z_1z_2)^2 \\ +(w_1x_2+x_1w_2+z_1y_2-y_1z_2)^2 \\ +(w_1y_2+y_1w_2+x_1z_2-z_1x_2)^2 \\ +(w_1z_2+z_1w_2+y_1x_2-x_1y_2)^2 \end{array} } &\\ \end{flalign} 展开并合同类项(因为这个步骤很冗长所以我们就把它省略了)得到公式: \begin{flalign} |\mathbf{q}_1\mathbf{q}_2|&=\sqrt{ \begin{array}{l} w_1^2w_2^2+x_1^2x_2^2+y_1^2y_2^2+z_1^2z_2^2 \\ +w_1^2x_2^2+x_1^2w_2^2+z_1^2y_2^2+y_1^2z_2^2 \\ +w_1^2y_2^2+y_1^2w_2^2+x_1^2z_2^2+z_1^2x_2^2 \\ +w_1^2z_2^2+z_1^2w_2^2+y_1^2x_2^2+x_1^2y_2^2 \end{array} } &\\ &=\sqrt{ \begin{array}{l} w_1^2(w_2^2+x_2^2+y_2^2+z_2^2) \\ +x_1^2(w_2^2+x_2^2+y_2^2+z_2^2) \\ +y_1^2(w_2^2+x_2^2+y_2^2+z_2^2) \\ +z_1^2(w_2^2+x_2^2+y_2^2+z_2^2) \end{array} } &\\ &=\sqrt{ (w_1^2+x_1^2+y_1^2+z_1^2)(w_2^2+x_2^2+y_2^2+z_2^2) } \end{flalign} 最后,应用四元数模的定义得到公式: \begin{flalign} |\mathbf{q}_1\mathbf{q}_2|&=\sqrt{(w_1^2+x_1^2+y_1^2+z_1^2)(w_2^2+x_2^2+y_2^2+z_2^2)} &\\ &=\sqrt{|\mathbf{q}_1|^2|\mathbf{q}_2|^2} &\\ &=|\mathbf{q}_1||\mathbf{q}_2| \end{flalign} 四元数乘积的模等于模的乘积。
因此,四元数乘积的模等于模的乘积。这个结论非常重要,因为它保证了两个单位四元数相乘的结果还是单位四元数。
四元数乘积的逆等于各个四元数的逆以相反的顺序相乘。 \begin{flalign} &(\mathbf{ab})^{-1}=\mathbf{b}^{-1}\mathbf{a}^{-1} &\\ &(\mathbf{q}_1\mathbf{q}_2\cdots\mathbf{q}_{n-1}\mathbf{q}_n)^{-1}=\mathbf{q}_n^{-1}\mathbf{q}_{n-1}^{-1}\cdots\mathbf{q}_2^{-1}\mathbf{q}_1^{-1} &\\ \end{flalign}
现在到了四元数非常有用的性质。让我们“扩展”一个标准3D点(x, y, z)到四元数空间,通过定义四元数p=[0, (x, y, z)]即可(当然,在一般情况下,p不会是单位四元数)。设q为我们讨论的旋转四元数形式[cos(θ/2), nsin(θ/2)],n为旋转轴,单位向量;θ为旋转角。您会惊奇地发现,执行下面的乘法可以使3D点p绕n旋转: \begin{flalign} &\mathbf{p}^{\prime}=\mathbf{q}\mathbf{p}\mathbf{q}^{-1} &\\ \end{flalign} 四元数p'中的(x,y,z)分量即为旋转后的3D向量。
我们可以证明这个等式,通过展开乘法,代入n和θ,然后和旋转矩阵公式比较。事实上,很多书正是从这里开始推导四元数向矩阵形式转换的公式。
四元数乘法的优势就在于能连接多次旋转,这和矩阵乘法的效果一样。
让我们来看看多次旋转的情况。将点p用一个四元数a旋转然后再用另一个四元数b旋转: \begin{flalign} \mathbf{p}^{\prime}&=\mathbf{b}(\mathbf{a}\mathbf{p}\mathbf{a}^{-1})\mathbf{b}^{-1} &\\ &=(\mathbf{b}\mathbf{a})\mathbf{p}(\mathbf{a}^{-1}\mathbf{b}^{-1}) &\\ &=(\mathbf{b}\mathbf{a})\mathbf{p}(\mathbf{b}\mathbf{a})^{-1} &\\ \end{flalign}
注意,先进行a旋转再进行b旋转等价于执行乘积ba代表的单一旋转。因此,四元数乘法能用来连接多次旋转,这和矩阵乘法的效果一样。根据四元数乘法的标准定义,这个旋转是以从右向左的顺序发生的。这非常不幸,因为它迫使我们以“由里向外”的顺序连接多次旋转,这和以矩阵形式作同样的运算是不同的(至少在使用行向量时是不同的)。
针对公式所导致的“顺序颠倒”问题,我们将违背标准定义,以相反的运算顺序来定义四元数乘法。注意,仅仅向量叉乘部分受到了影响。 \begin{flalign} &\left[\begin{array}{l}w_1 & (x_1 & y_1 & z_1)\end{array}\right]\left[\begin{array}{l}w_2 & (x_2 & y_2 & z_2)\end{array}\right] &\\ &=\left[ \begin{array}{l} \quad w_1w_2-x_1x_2-y_1y_2-z_1z_2 \\ \left( \begin{array}{l} w_1x_2+x_1w_2+y_1z_2-z_1y_2 \\ w_1y_2+y_1w_2+z_1x_2-x_1z_2 \\ w_1z_2+z_1w_2+x_1y_2-y_1x_2 \end{array} \right) \end{array} \right] \end{flalign} \begin{flalign} &\left[ \begin{array}{l} w_1 & \mathbf{v}_1 \end{array} \right] \left[ \begin{array}{l} w_2 & \mathbf{v}_2 \end{array} \right] &\\ &=\left[\begin{array}{l} w_1w_2-\mathbf{v}_1\cdot\mathbf{v}_2 & w_1\mathbf{v}_2+w_2\mathbf{v}_1+\mathbf{v}_1\cdot\mathbf{v}_2 \end{array}\right] &\\ \end{flalign}
这并没有改变四元数的基本性质和用v、θ的几何解释,仍然能用四元数乘法来直接旋转向量,惟一不同的是,根据我们的定义,将四元数放在向量右边,而把它的逆放在向量的左边: \begin{flalign} &\mathbf{p}^{\prime}=\mathbf{q}^{-1}\mathbf{p}\mathbf{q} &\\ \end{flalign} 能看到下面这个表达了多个旋转连接的等式,它是自左向右的,与旋转发生的顺序一致: \begin{flalign} &\mathbf{p}^{\prime}=\mathbf{b}^{-1}(\mathbf{a}^{-1}\mathbf{p}\mathbf{a})\mathbf{b} &\\ &=(\mathbf{b}^{-1}\mathbf{a}^{-1})\mathbf{p}(\mathbf{a}\mathbf{b}) &\\ &=(\mathbf{a}\mathbf{b})^{-1}\mathbf{p}(\mathbf{a}\mathbf{b}) &\\ \end{flalign} 利用修改后的四元数乘法定义更方便用程序实现四元数类。
十二、四元数“差”
利用四元数的乘法和逆,就能够计算两个四元数的“差”。“差”被定义为一个方位到另一个方位的角位移。换句话说,给定方位a和b,能够计算从a到旋转到b的角位移d。用四元数等式更加紧凑地表示为: \begin{flalign} &\mathbf{a}\mathbf{d}=\mathbf{b} &\\ \end{flalign}
(这里使用我们的更加直观的四元数乘法定义,旋转的顺序对应于从左向右乘法的顺序。)现在来求d。如果等式中的变量为标量,那么就可以简单的除以a。但是,不能除以四元数,只能乘它们。也许乘以它的逆能达到想要的效果!两边同时左乘a-1(必须注意,四元数乘法不满足交换律): \begin{flalign} &\mathbf{a}^{-1}(\mathbf{a}\mathbf{d})=\mathbf{a}^{-1}\mathbf{b} &\\ &(\mathbf{a}^{-1}\mathbf{a})\mathbf{d}=\mathbf{a}^{-1}\mathbf{b} &\\ &\left[\begin{array}{l}1 & \mathbf{0} \end{array}\right]\mathbf{d}=\mathbf{a}^{-1}\mathbf{b} &\\ &\mathbf{d}=\mathbf{a}^{-1}\mathbf{b} &\\ \end{flalign}
现在,我们就有了求得代表一个方位到另一个方位角位移的四元数的方法。
数学上,两个四元数之间的角度“差”更类似于“除”,而不是真正的“差”(减法)。
十三、四元数点乘
四元数也有点乘运算。它的记法、定义和向量点乘非常类似: \begin{flalign} \mathbf{q}_1 \cdot \mathbf{q}_2&=\left[\begin{array}{l} w_1 & \mathbf{v}_1 \end{array}\right]\cdot\left[\begin{array}{l} w_2 & \mathbf{v}_2 \end{array}\right]=w_1w_2+\mathbf{v}_1\mathbf{v}_2 &\\ &=\left[\begin{array}{l} w_1 & (x_1 & y_1 & z_1) \end{array}\right]\cdot\left[\begin{array}{l} w_2 & (x_2 & y_2 & z_2) \end{array}\right]=w_1w_2+x_1x_2+y_1y_2+z_1z_2 &\\ \end{flalign}
注意,和向量点乘一样,其结果是标量。对于单位四元数a和b,有-1≤a•b≤1。通常我们只关心a•b的绝对值,因为a•b=-(a•-b),所以b和-b代表相同的角位移。
四元数点乘的几何解释类似于向量点乘的几何解释。四元数点乘a•b的绝对值越大,a和b代表的角位移越“相似”。
十四、四元数的对数
首先,让我们重写四元数的定义,引入一个新的变量α,等于半角θ/2: \begin{flalign} &α=θ/2 &\\ &|\mathbf{n}|=1 &\\ \end{flalign} \begin{flalign} \mathbf{q}&=\left[\begin{array}{l} cosα & \mathbf{n}sinα \end{array}\right] &\\ &=\left[\begin{array}{l} cosα & xsinα & ysinα & zsinα \end{array}\right] &\\ \end{flalign} \begin{flalign} log\mathbf{q}&=log(\left[\begin{array}{l} cosα & \mathbf{n}sinα \end{array}\right]) &\\ &\equiv \left[\begin{array}{l} 0 & α\mathbf{n} \end{array}\right] &\\ \end{flalign} $\equiv$表示“恒等于”。注意logq的结果,它一般不是单位四元数。
十五、四元数的指数
根据定义,expp总是返回单位四元数。
四元数的对数和指数类似于它们的标量形式。回忆一下,对于标量a,有下列关系成立: \begin{flalign} &e^{lna}=a &\\ \end{flalign} 同样,四元数指数运算为四元数对数运算的逆运算: \begin{flalign} &exp(log\mathbf{q})=\mathbf{q} &\\ \end{flalign}
十六、四元数和标量相乘
四元数能与一个标量相乘,其计算方法非常直接,每个分量都乘以这个标量。给定标量k和四元数q,有如下公式: \begin{flalign} k\mathbf{q}&=k[w \quad \mathbf{v}]=[kw \quad k\mathbf{v}] &\\ &=k[w \quad (x \quad y \quad z)]=[kw \quad (kx \quad ky \quad kz)] &\\ \end{flalign} 一般不会得到单位四元数,这也是为什么在表达角位移的场合中标量乘不是那么有用的原因。
十七、四元数求幂
四元数能作为底数,记作qt(不要和指数运算混淆,指数运算只接受一个四元数作为参数,而四元数求幂有两个参数——四元数和指数)。四元数求幂的意义类似于实数求幂。回忆下,a0=1,a1=a,a为非零标量。当t从0变到1时,at从1到a。四元数求幂有类似的结论:当t从0变到1,qt从[1, 0]到q。
这对四元数求幂非常有用,因为它可以从角位移中抽取“一部分”。例如,四元数q代表一个角位移,现在想要得到1/3这个角位移的四元数,可以这样计算:q1/3。
指数超出[0, 1]范围外的几何行为和预期的一样(但有一个重要的注意事项)。例如,q2代表的角位移是q的两倍。假设q代表绕x轴顺时针旋转30°,那么q2代表绕x顺时针旋转60°,q-1/3代表绕x轴逆时针旋转10°
上面提到的注意事项是,四元数表达角位移时使用最短圆弧,不能“绕圈”。继续上面的例子,q4不是预期的绕x轴顺时针旋转240°(这里应该是把q当成60°了),而是逆时针80°。显然,向一个方向旋转240°等价于向相反的方向旋转80°,都能得到正确的“最终结果”。但是,在此基础上的进一步运算,产生的就可能不是预期的结果了。例如,(q4)1/2不是q2,尽管我们感觉应该是这样。一般来说,凡是涉及到指数运算的代数公式,如(as)t=ast,对四元数都不适用。
现在,我们已经理解四元数求幂可以为我们做什么了。让我们看看它的数学定义。 \begin{flalign} &\mathbf{q}^t=exp(tlog\mathbf{q}) &\\ \end{flalign}
注意,对于标量求幂,也有类似结论: \begin{flalign} &a^t=e^{(tlna)} &\\ \end{flalign}
不难理解为什么当t从0变到1时qt从单位四元数变到q。注意到对数运算只是提取了轴n和角度θ;接着,和指数t进行标量乘时,结果是θ乘以t;最后,指数运算“撤消”了对数运算,从tθ和n重新计算w和v。上面给出的定义就是标准的数学定义,在理论上非常完美,但直接转换到代码却是很复杂的。下面的程序清单所示代码展示了怎样计算qt的值。
// 四元数(输入、输出)
float w,x,y,z;
// 指数
float exponent;
// 检查单位四元数的情况,避免除零
if (fabs(w) < 0.9999f) {
// 提取半角alpha (alpha=theta/2)
float alpha = acos(w);
// 计算新的alpha值
float newAlpha = alpha * exponent;
// 计算新w值
w = cos(newAlpha);
// 计算新的xyz值
float mult = sin(newAlpha) / sin(alpha);
x *= mult;
y *= mult;
z *= mult;
}
关于这些代码,需要注意的地方有:
- 首先,有必要做单位四元数的检查。因为w=±1会导致mult的计算中出现除零现象。单位四元数的任意次方还是单位四元数。因此,如果检测到输入是单位四元数,直接忽略指数直接返回原四元数即可。
- 第二,计算alpha时,使用了acos函数,它的返回值是正的角度。这并不违背一般性,任何四元数都能解释成有正方向的旋转角度。因为绕某轴的负旋转等价于绕指向相反方向的轴的正旋转。
标签: Algorithms
日历
最新文章
随机文章
热门文章
分类
存档
- 2026年4月(7)
- 2026年3月(15)
- 2026年2月(3)
- 2026年1月(6)
- 2025年12月(1)
- 2025年11月(1)
- 2025年9月(3)
- 2025年7月(4)
- 2025年6月(5)
- 2025年5月(1)
- 2025年4月(5)
- 2025年3月(4)
- 2025年2月(3)
- 2025年1月(1)
- 2024年12月(5)
- 2024年11月(5)
- 2024年10月(5)
- 2024年9月(3)
- 2024年8月(3)
- 2024年7月(11)
- 2024年6月(3)
- 2024年5月(9)
- 2024年4月(10)
- 2024年3月(11)
- 2024年2月(24)
- 2024年1月(12)
- 2023年12月(3)
- 2023年11月(9)
- 2023年10月(7)
- 2023年9月(2)
- 2023年8月(7)
- 2023年7月(9)
- 2023年6月(6)
- 2023年5月(7)
- 2023年4月(11)
- 2023年3月(6)
- 2023年2月(11)
- 2023年1月(8)
- 2022年12月(2)
- 2022年11月(4)
- 2022年10月(10)
- 2022年9月(2)
- 2022年8月(13)
- 2022年7月(7)
- 2022年6月(11)
- 2022年5月(18)
- 2022年4月(29)
- 2022年3月(5)
- 2022年2月(6)
- 2022年1月(8)
- 2021年12月(5)
- 2021年11月(3)
- 2021年10月(4)
- 2021年9月(9)
- 2021年8月(14)
- 2021年7月(8)
- 2021年6月(5)
- 2021年5月(2)
- 2021年4月(3)
- 2021年3月(7)
- 2021年2月(2)
- 2021年1月(8)
- 2020年12月(7)
- 2020年11月(2)
- 2020年10月(6)
- 2020年9月(9)
- 2020年8月(10)
- 2020年7月(9)
- 2020年6月(18)
- 2020年5月(4)
- 2020年4月(25)
- 2020年3月(38)
- 2020年1月(21)
- 2019年12月(13)
- 2019年11月(29)
- 2019年10月(44)
- 2019年9月(17)
- 2019年8月(18)
- 2019年7月(25)
- 2019年6月(25)
- 2019年5月(17)
- 2019年4月(10)
- 2019年3月(36)
- 2019年2月(35)
- 2019年1月(28)
- 2018年12月(30)
- 2018年11月(22)
- 2018年10月(4)
- 2018年9月(7)
- 2018年8月(13)
- 2018年7月(13)
- 2018年6月(6)
- 2018年5月(5)
- 2018年4月(13)
- 2018年3月(5)
- 2018年2月(3)
- 2018年1月(8)
- 2017年12月(35)
- 2017年11月(17)
- 2017年10月(16)
- 2017年9月(17)
- 2017年8月(20)
- 2017年7月(34)
- 2017年6月(17)
- 2017年5月(15)
- 2017年4月(32)
- 2017年3月(8)
- 2017年2月(2)
- 2017年1月(5)
- 2016年12月(14)
- 2016年11月(26)
- 2016年10月(12)
- 2016年9月(25)
- 2016年8月(32)
- 2016年7月(14)
- 2016年6月(21)
- 2016年5月(17)
- 2016年4月(13)
- 2016年3月(8)
- 2016年2月(8)
- 2016年1月(18)
- 2015年12月(13)
- 2015年11月(15)
- 2015年10月(12)
- 2015年9月(18)
- 2015年8月(21)
- 2015年7月(35)
- 2015年6月(13)
- 2015年5月(9)
- 2015年4月(4)
- 2015年3月(5)
- 2015年2月(4)
- 2015年1月(13)
- 2014年12月(7)
- 2014年11月(5)
- 2014年10月(4)
- 2014年9月(8)
- 2014年8月(16)
- 2014年7月(26)
- 2014年6月(22)
- 2014年5月(28)
- 2014年4月(15)
友情链接
- Unity官网
- Unity圣典
- Unity在线手册
- Unity中文手册(圣典)
- Unity官方中文论坛
- Unity游戏蛮牛用户文档
- Unity下载存档
- Unity引擎源码下载
- Unity服务
- Unity Ads
- wiki.unity3d
- Visual Studio Code官网
- SenseAR开发文档
- MSDN
- C# 参考
- C# 编程指南
- .NET Framework类库
- .NET 文档
- .NET 开发
- WPF官方文档
- uLua
- xLua
- SharpZipLib
- Protobuf-net
- Protobuf.js
- OpenSSL
- OPEN CASCADE
- JSON
- MessagePack
- C在线工具
- 游戏蛮牛
- GreenVPN
- 聚合数据
- 热云
- 融云
- 腾讯云
- 腾讯开放平台
- 腾讯游戏服务
- 腾讯游戏开发者平台
- 腾讯课堂
- 微信开放平台
- 腾讯实时音视频
- 腾讯即时通信IM
- 微信公众平台技术文档
- 白鹭引擎官网
- 白鹭引擎开放平台
- 白鹭引擎开发文档
- FairyGUI编辑器
- PureMVC-TypeScript
- 讯飞开放平台
- 亲加通讯云
- Cygwin
- Mono开发者联盟
- Scut游戏服务器引擎
- KBEngine游戏服务器引擎
- Photon游戏服务器引擎
- 码云
- SharpSvn
- 腾讯bugly
- 4399原创平台
- 开源中国
- Firebase
- Firebase-Admob-Unity
- google-services-unity
- Firebase SDK for Unity
- Google-Firebase-SDK
- AppsFlyer SDK
- android-repository
- CQASO
- Facebook开发者平台
- gradle下载
- GradleBuildTool下载
- Android Developers
- Google中国开发者
- AndroidDevTools
- Android社区
- Android开发工具
- Google Play Games Services
- Google商店
- Google APIs for Android
- 金钱豹VPN
- TouchSense SDK
- MakeHuman
- Online RSA Key Converter
- Windows UWP应用
- Visual Studio For Unity
- Open CASCADE Technology
- 慕课网
- 阿里云服务器ECS
- 在线免费文字转语音系统
- AI Studio
- 网云穿
- 百度网盘开放平台
- 迅捷画图
- 菜鸟工具
- [CSDN] 程序员研修院
- 华为人脸识别
- 百度AR导航导览SDK
- 海康威视官网
- 海康开放平台
- 海康SDK下载
- git download
- Open CASCADE
- CascadeStudio
- OpenClaw中文社区
- three.js manual
- SVG官方文档
交流QQ群
-
Flash游戏设计: 86184192
Unity游戏设计: 171855449
游戏设计订阅号









