中点画圆法
作者:追风剑情 发布于:2018-4-14 22:55 分类:计算机图形学
中点画圆法
利用圆的八向对称性画圆。
假设从P点顺时针画圆,下一个像素点选P1还是P2呢? M为P1与P2的中点。
构造函数:
对于圆上的点,F(x, y)=0;对于圆外的点,F(x, y) > 0;而对于圆内的点,F(x, y) < 0。假设M是P1和P2的中点,即M=(xi+1, yi-0.5)。那么,当F(M)<0时,M在圆内,这说明P1距离圆弧更近,应取P1作为下一个像素。而F(M)>0时,M在圆外,这说明P2距离圆弧更近,应取P2作为下一个像素。当F(M)=0时,在P1和P2之中随便取一个即可,这里约定取P2。
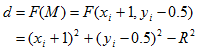
构造判别式
若d<0,应取P1作为下一个像素。再下一个像素的判别式为:
所以,沿正右方向,此时d的增量为2xi+3。
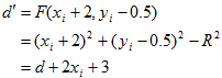
而若d>=0,应取P2作为下一个像素,再下一个像素的判别式为:
所以,沿右下方向,此时d的增量为2(xi-yi)+5。
由于这里讨论的是按顺时针方向生成第二个八分之一圆,因此,第一个像素是(0, R),判别式d的初始值为
代码: C#
private void MidPointCircle(int R)
{
int x, y;
double d;
x = 0; y = R; d = 1.25 - R;
SetPixel(x, y);
while(x < y)
{
if (d < 0)
{
d += 2 * x + 3;
x++;
}
else
{
d += 2 * (x - y) + 5;
x++;
y--;
}
SetPixel(x, y);
}
}
优化版: 消除浮点运算
private void MidPointCircle(int R)
{
int x, y;
double d;
x = 0; y = R; d = 1 - R;//去掉小数部分
SetPixel(x, y);
while(x < y)
{
//由于d始终为整数,
//所以d<-0.25等价于d<0
//if (d < -0.25f)
if (d < 0)
{
d += 2 * x + 3;
x++;
}
else
{
d += 2 * (x - y) + 5;
x++;
y--;
}
SetPixel(x, y);
}
}
优化版: 消除乘法运算
通过使用增量计算技术,可以进一步改进上术算法的效率。注意到上术算法中判别式d的增量x、y的线性函数。若d<0,P1为下一个像素,d的增量为:d1=2x+3,可见,x的变化将影响d1的值。若d>=0,P2为下一个像素,d的增量为d2=2(x-y)+5,可见,x和y的变化都将影响d2的值。
每当x递增1,d1递增2,d2递增2。每当y递减1,d2递增2。所以归纳起来,若d<0,P1为下一个像素,x递增1,d1递增2,d2递增2;若d>=0,P2为下一个像素,x递增1,y递减1,d1递增2,d2递增4。由于初始像素为(0, R),所以d1的初始值为3,d2的初始值为-2R+5。再注意到乘2运算可以改用加法实现,至此可写出不含乘法、仅用整数实现的中点画圆算法。
private void MidPointCircle(int R)
{
int x, y, delta1, delta2, d;
x = 0; y = R; d = 1 - R;
delta1 = 3;
delta2 = 5 - R - R;
SetPixel(x, y);
while(x < y)
{
if (d < 0)
{
d += delta1;
delta1 += 2;
delta2 += 2;
x++;
}
else
{
d += delta2;
delta1 += 2;
delta2 += 4;
x++;
y--;
}
SetPixel(x, y);
}
}
完整示例: C#
using System;
using System.Collections.Generic;
using System.ComponentModel;
using System.Data;
using System.Drawing;
using System.Linq;
using System.Text;
using System.Threading.Tasks;
using System.Windows.Forms;
namespace MidCire
{
public partial class Form1 : Form
{
public Form1()
{
InitializeComponent();
}
private void Form1_Load(object sender, EventArgs e)
{
//当窗口尺寸改变时重绘所有窗口
this.SetStyle(ControlStyles.AllPaintingInWmPaint | ControlStyles.ResizeRedraw, true);
}
private void Form1_Paint(object sender, PaintEventArgs e)
{
MidPointCircle(e.Graphics, 50);
}
private void MidPointCircle(Graphics g, int R)
{
int x, y, delta1, delta2, d;
x = 0; y = R; d = 1 - R;
delta1 = 3;
delta2 = 5 - R - R;
SetPixel(g, x, y);
while(x < y)
{
if (d < 0)
{
d += delta1;
delta1 += 2;
delta2 += 2;
x++;
}
else
{
d += delta2;
delta1 += 2;
delta2 += 4;
x++;
y--;
}
SetPixel(g, x, y);
}
}
private void SetPixel(Graphics g, int x, int y)
{
int centerOffset = 50;
Pen pen = new Pen(Brushes.Red);
g.DrawEllipse(pen, centerOffset + x, centerOffset + y, 1, 1);
}
}
}
运行截图
示例:画一个完整的圆
using System;
using System.Collections.Generic;
using System.ComponentModel;
using System.Data;
using System.Drawing;
using System.Linq;
using System.Text;
using System.Threading.Tasks;
using System.Windows.Forms;
namespace MidCire
{
public partial class Form1 : Form
{
public Form1()
{
InitializeComponent();
}
private void Form1_Load(object sender, EventArgs e)
{
//当窗口尺寸改变时重绘所有窗口
this.SetStyle(ControlStyles.AllPaintingInWmPaint | ControlStyles.ResizeRedraw, true);
}
private void Form1_Paint(object sender, PaintEventArgs e)
{
MidPointCircle(e.Graphics, 50);
}
private void MidPointCircle(Graphics g, int R)
{
int x, y, delta1, delta2, d;
x = 0; y = R; d = 1 - R;
delta1 = 3;
delta2 = 5 - R - R;
SetPixel(g, x, y);
while(x < y)
{
if (d < 0)
{
d += delta1;
delta1 += 2;
delta2 += 2;
x++;
}
else
{
d += delta2;
delta1 += 2;
delta2 += 4;
x++;
y--;
}
SetPixel(g, x, y);
//利用圆的八向对称性画出其他弧线
SetPixel(g, -x, y);
SetPixel(g, x, -y);
SetPixel(g, -x, -y);
SetPixel(g, y, x);
SetPixel(g, -y, x);
SetPixel(g, y, -x);
SetPixel(g, -y, -x);
}
}
private void SetPixel(Graphics g, int x, int y)
{
int centerOffset = 50;
Pen pen = new Pen(Brushes.Red);
g.DrawEllipse(pen, centerOffset + x, centerOffset + y, 1, 1);
}
}
}
运行截图
标签: 计算机图形学
日历
最新文章
随机文章
热门文章
分类
存档
- 2026年4月(7)
- 2026年3月(15)
- 2026年2月(3)
- 2026年1月(6)
- 2025年12月(1)
- 2025年11月(1)
- 2025年9月(3)
- 2025年7月(4)
- 2025年6月(5)
- 2025年5月(1)
- 2025年4月(5)
- 2025年3月(4)
- 2025年2月(3)
- 2025年1月(1)
- 2024年12月(5)
- 2024年11月(5)
- 2024年10月(5)
- 2024年9月(3)
- 2024年8月(3)
- 2024年7月(11)
- 2024年6月(3)
- 2024年5月(9)
- 2024年4月(10)
- 2024年3月(11)
- 2024年2月(24)
- 2024年1月(12)
- 2023年12月(3)
- 2023年11月(9)
- 2023年10月(7)
- 2023年9月(2)
- 2023年8月(7)
- 2023年7月(9)
- 2023年6月(6)
- 2023年5月(7)
- 2023年4月(11)
- 2023年3月(6)
- 2023年2月(11)
- 2023年1月(8)
- 2022年12月(2)
- 2022年11月(4)
- 2022年10月(10)
- 2022年9月(2)
- 2022年8月(13)
- 2022年7月(7)
- 2022年6月(11)
- 2022年5月(18)
- 2022年4月(29)
- 2022年3月(5)
- 2022年2月(6)
- 2022年1月(8)
- 2021年12月(5)
- 2021年11月(3)
- 2021年10月(4)
- 2021年9月(9)
- 2021年8月(14)
- 2021年7月(8)
- 2021年6月(5)
- 2021年5月(2)
- 2021年4月(3)
- 2021年3月(7)
- 2021年2月(2)
- 2021年1月(8)
- 2020年12月(7)
- 2020年11月(2)
- 2020年10月(6)
- 2020年9月(9)
- 2020年8月(10)
- 2020年7月(9)
- 2020年6月(18)
- 2020年5月(4)
- 2020年4月(25)
- 2020年3月(38)
- 2020年1月(21)
- 2019年12月(13)
- 2019年11月(29)
- 2019年10月(44)
- 2019年9月(17)
- 2019年8月(18)
- 2019年7月(25)
- 2019年6月(25)
- 2019年5月(17)
- 2019年4月(10)
- 2019年3月(36)
- 2019年2月(35)
- 2019年1月(28)
- 2018年12月(30)
- 2018年11月(22)
- 2018年10月(4)
- 2018年9月(7)
- 2018年8月(13)
- 2018年7月(13)
- 2018年6月(6)
- 2018年5月(5)
- 2018年4月(13)
- 2018年3月(5)
- 2018年2月(3)
- 2018年1月(8)
- 2017年12月(35)
- 2017年11月(17)
- 2017年10月(16)
- 2017年9月(17)
- 2017年8月(20)
- 2017年7月(34)
- 2017年6月(17)
- 2017年5月(15)
- 2017年4月(32)
- 2017年3月(8)
- 2017年2月(2)
- 2017年1月(5)
- 2016年12月(14)
- 2016年11月(26)
- 2016年10月(12)
- 2016年9月(25)
- 2016年8月(32)
- 2016年7月(14)
- 2016年6月(21)
- 2016年5月(17)
- 2016年4月(13)
- 2016年3月(8)
- 2016年2月(8)
- 2016年1月(18)
- 2015年12月(13)
- 2015年11月(15)
- 2015年10月(12)
- 2015年9月(18)
- 2015年8月(21)
- 2015年7月(35)
- 2015年6月(13)
- 2015年5月(9)
- 2015年4月(4)
- 2015年3月(5)
- 2015年2月(4)
- 2015年1月(13)
- 2014年12月(7)
- 2014年11月(5)
- 2014年10月(4)
- 2014年9月(8)
- 2014年8月(16)
- 2014年7月(26)
- 2014年6月(22)
- 2014年5月(28)
- 2014年4月(15)
友情链接
- Unity官网
- Unity圣典
- Unity在线手册
- Unity中文手册(圣典)
- Unity官方中文论坛
- Unity游戏蛮牛用户文档
- Unity下载存档
- Unity引擎源码下载
- Unity服务
- Unity Ads
- wiki.unity3d
- Visual Studio Code官网
- SenseAR开发文档
- MSDN
- C# 参考
- C# 编程指南
- .NET Framework类库
- .NET 文档
- .NET 开发
- WPF官方文档
- uLua
- xLua
- SharpZipLib
- Protobuf-net
- Protobuf.js
- OpenSSL
- OPEN CASCADE
- JSON
- MessagePack
- C在线工具
- 游戏蛮牛
- GreenVPN
- 聚合数据
- 热云
- 融云
- 腾讯云
- 腾讯开放平台
- 腾讯游戏服务
- 腾讯游戏开发者平台
- 腾讯课堂
- 微信开放平台
- 腾讯实时音视频
- 腾讯即时通信IM
- 微信公众平台技术文档
- 白鹭引擎官网
- 白鹭引擎开放平台
- 白鹭引擎开发文档
- FairyGUI编辑器
- PureMVC-TypeScript
- 讯飞开放平台
- 亲加通讯云
- Cygwin
- Mono开发者联盟
- Scut游戏服务器引擎
- KBEngine游戏服务器引擎
- Photon游戏服务器引擎
- 码云
- SharpSvn
- 腾讯bugly
- 4399原创平台
- 开源中国
- Firebase
- Firebase-Admob-Unity
- google-services-unity
- Firebase SDK for Unity
- Google-Firebase-SDK
- AppsFlyer SDK
- android-repository
- CQASO
- Facebook开发者平台
- gradle下载
- GradleBuildTool下载
- Android Developers
- Google中国开发者
- AndroidDevTools
- Android社区
- Android开发工具
- Google Play Games Services
- Google商店
- Google APIs for Android
- 金钱豹VPN
- TouchSense SDK
- MakeHuman
- Online RSA Key Converter
- Windows UWP应用
- Visual Studio For Unity
- Open CASCADE Technology
- 慕课网
- 阿里云服务器ECS
- 在线免费文字转语音系统
- AI Studio
- 网云穿
- 百度网盘开放平台
- 迅捷画图
- 菜鸟工具
- [CSDN] 程序员研修院
- 华为人脸识别
- 百度AR导航导览SDK
- 海康威视官网
- 海康开放平台
- 海康SDK下载
- git download
- Open CASCADE
- CascadeStudio
- OpenClaw中文社区
- three.js manual
- SVG官方文档
交流QQ群
-
Flash游戏设计: 86184192
Unity游戏设计: 171855449
游戏设计订阅号












